русс | укр

Языки программирования

ПаскальСиАссемблерJavaMatlabPhpHtmlJavaScriptCSSC#DelphiТурбо Пролог

Компьютерные сетиСистемное программное обеспечениеИнформационные технологииПрограммирование

Все о программировании


Linux Unix Алгоритмические языки Аналоговые и гибридные вычислительные устройства Архитектура микроконтроллеров Введение в разработку распределенных информационных систем Введение в численные методы Дискретная математика Информационное обслуживание пользователей Информация и моделирование в управлении производством Компьютерная графика Математическое и компьютерное моделирование Моделирование Нейрокомпьютеры Проектирование программ диагностики компьютерных систем и сетей Проектирование системных программ Системы счисления Теория статистики Теория оптимизации Уроки AutoCAD 3D Уроки базы данных Access Уроки Orcad Цифровые автоматы Шпаргалки по компьютеру Шпаргалки по программированию Экспертные системы Элементы теории информации

Моделирование аналоговых устройств на функциональном уровне


Дата добавления: 2015-08-06; просмотров: 964; Нарушение авторских прав


На функционально-логическом уровне исследуют устройства, в качестве элементов которых принимают достаточно сложные узлы и блоки, считавшиеся системами на макроуровне. Поэтому необходимо упростить представление моделей этих узлов и блоков по сравнению с их представлением на макроуровне. Другими словами, вместо полных моделей узлов и блоков нужно использовать их макромодели.

Вместо двух типов фазовых переменных в моделях функционально-логического уровня фигурируют переменные одного типа, называемые сигналами. Физический смысл сигнала, т.е. его отнесение к фазовым переменным типа потока или типа потенциала, конкретизируют в каждом случае исходя из особенностей задачи.

Основой моделирования аналоговых устройств на функционально-логическом уровне является использование аппарата передаточных функций. При этом модель каждого элемента представляют в виде уравнения вход-выход, т.е. в виде

(1)

где и — сигналы на выходе и входе узла соответственно. Если узел имеет более чем один вход и один выход, то в (1) скаляры и становятся векторами.

Однако известно, что представление модели в виде (1) возможно только, если узел является безынерционным, т.е. в полной модели узла не фигурируют производные. Следовательно, для получения (1) в общем случае требуется предварительная алгебраизация полной модели. Такую алгебраизацию выполняют с помощью интегральных преобразований, например, с помощью преобразования Лапласа, переходя из временной области в пространство комплексной переменной . Тогда в моделях типа (1) имеют место не оригиналы, а изображения сигналов и , сами же модели реальных блоков стараются по возможности максимально упростить и представить их моделями типовых блоков (звеньев) из числа заранее разработанных библиотечных моделей. Обычно модели звеньев имеют вид

где — передаточная функция звена.



В случае применения преобразования Лапласа появляются ограничения на использование нелинейных моделей, а именно: в моделях не должно быть нелинейных инерционных элементов.

Другое упрощающее допущение при моделировании на функционально-логическом уровне — неучет влияния нагрузки на характеристики блоков. Действительно, подключение к выходу блока некоторого другого узла никак не влияет на модель блока (1).

Собственно получение ММС из ММЭ оказывается вследствие принятых допущений значительно проще, чем на макроуровне: ММС есть совокупность ММЭ, в которых отождествлены сигналы на соединенных входах и выходах элементов. Эта ММС представляет собой систему алгебраических уравнений.

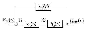
Получение ММС проиллюстрируем простым примером (см. рис. 1), где показана система из трех блоков с передаточными функциями , и . ММС имеет вид:

или

где

Рис. 1. Пример математической модели на функциональном уровне

Таким образом, анализ сводится к следующим операциям:

1. заданную схему устройства представляют совокупностью звеньев и, если схема не полностью покрывается типовыми звеньями, то разрабатывают оригинальные модели;

2. формируют ММС из моделей звеньев;

3. применяют прямое преобразование Лапласа к входным сигналам;

4. решают систему уравнений ММС и находят изображения выходных сигналов;

5. с помощью обратного преобразования Лапласа возвращаются во временную область из области комплексной переменной .



<== предыдущая лекция | следующая лекция ==>
Примечание 1 | Математические модели дискретных устройств


Карта сайта Карта сайта укр


Уроки php mysql Программирование

Онлайн система счисления Калькулятор онлайн обычный Инженерный калькулятор онлайн Замена русских букв на английские для вебмастеров Замена русских букв на английские

Аппаратное и программное обеспечение Графика и компьютерная сфера Интегрированная геоинформационная система Интернет Компьютер Комплектующие компьютера Лекции Методы и средства измерений неэлектрических величин Обслуживание компьютерных и периферийных устройств Операционные системы Параллельное программирование Проектирование электронных средств Периферийные устройства Полезные ресурсы для программистов Программы для программистов Статьи для программистов Cтруктура и организация данных


 


Не нашли то, что искали? Google вам в помощь!

 
 

© life-prog.ru При использовании материалов прямая ссылка на сайт обязательна.

Генерация страницы за: 0.03 сек.