русс | укр

Языки программирования

ПаскальСиАссемблерJavaMatlabPhpHtmlJavaScriptCSSC#DelphiТурбо Пролог

Компьютерные сетиСистемное программное обеспечениеИнформационные технологииПрограммирование

Все о программировании


Linux Unix Алгоритмические языки Аналоговые и гибридные вычислительные устройства Архитектура микроконтроллеров Введение в разработку распределенных информационных систем Введение в численные методы Дискретная математика Информационное обслуживание пользователей Информация и моделирование в управлении производством Компьютерная графика Математическое и компьютерное моделирование Моделирование Нейрокомпьютеры Проектирование программ диагностики компьютерных систем и сетей Проектирование системных программ Системы счисления Теория статистики Теория оптимизации Уроки AutoCAD 3D Уроки базы данных Access Уроки Orcad Цифровые автоматы Шпаргалки по компьютеру Шпаргалки по программированию Экспертные системы Элементы теории информации

Методы анализа на микроуровне


Дата добавления: 2015-08-06; просмотров: 1633; Нарушение авторских прав


В САПР решение дифференциальных или интегро-дифференциальных уравнений с частными производными выполняется численными методами. Эти методы основаны на дискретизации независимых переменных — их представлении конечным множеством значений в выбранных узловых точках исследуемого пространства. Эти точки рассматриваются как узлы некоторой сетки, поэтому используемые в САПР методы — это сеточные методы.

Среди сеточных методов наибольшее распространение получили два метода: метод конечных разностей (МКР) и метод конечных элементов (МКЭ). Обычно выполняют дискретизацию пространственных независимых переменных, т.е. используют пространственную сетку. В этом случае результатом дискретизации является система обыкновенных дифференциальных уравнений для задачи нестационарной или система алгебраических уравнений для стационарной.

Пусть необходимо решить уравнение с заданными краевыми условиями где и — дифференциальные операторы, — фазовая переменная, — вектор независимых переменных, ( ) и ( ) — заданные функции независимых переменных.

В методе конечных разностей алгебраизация производных по пространственным координатам базируется на аппроксимации производных конечно-разностными выражениями. При использовании метода нужно выбрать шаги сетки по каждой координате и вид шаблона. Под шаблоном понимают множество узловых точек, значения переменных в которых используются для аппроксимации производной в одной конкретной точке.

Рис. 1. Примеры шаблонов для одномерных и двумерных задач

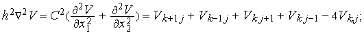
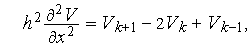
Примеры шаблонов для одномерных и двумерных задач приведены на рис. 1. На этом рисунке кружком большего диаметра обозначены узлы, в которых аппроксимируется производная. Черными точками обозначены узлы, значения фазовой переменной в которых входят в аппроксимирующее выражение. Число, записанное около узла, равно коэффициенту, с которым значение фазовой переменной входит в аппроксимирующее выражение. Так, для одномерных шаблонов в верхней части рисунка показана аппроксимация производной в точке , и указанным шаблонам при их просмотре слева направо соответствуют аппроксимации



где — шаг дискретизации по оси .

Шаблоны для двумерных задач в нижней части рис. 1 соответствуют следующим конечно-разностным операторам:

· левый рисунок:

· средний рисунок:

· правый рисунок:

Здесь — значение в точке ; приняты одинаковые значения шагов по обеим координатам.

Метод конечных элементов основан на аппроксимации не производных, а самого решения . Но поскольку оно неизвестно, то аппроксимация выполняется выражениями с неопределенными коэффициентами

(1)

где — вектор-строка неопределенных коэффициентов, — вектор-столбец координатных функций (опорных функций), заданных так, что удовлетворяются граничные условия.

При этом речь идет об аппроксимациях решения в пределах конечных элементов, а с учетом их малых размеров можно говорить об использовании сравнительно простых аппроксимирующих выражений (например, — полиномы низких степеней). В результате подстановки в исходное дифференциальное уравнение и выполнения операций дифференцирования получаем систему невязок

(2)

из которой требуется найти вектор .

Эту задачу (определение ) решают одним из следующих методов:

· метод коллокаций, в котором, используя (2), формируют уравнений с неизвестным вектором :

где — число неопределенных коэффициентов;

· метод наименьших квадратов, основанный на минимизации квадратов невязок в точках или в среднем по рассматриваемой области;

· метод Галеркина, с помощью которого минимизируются в среднем по области невязки со специально задаваемыми весовыми коэффициентами.

Наибольшее распространение МКЭ получил в САПР машиностроения для анализа прочности объектов. Для этой задачи можно использовать рассмотренный подход, т.е. выполнить алгебраизацию исходного уравнения упругости (уравнения Ламе). Однако более удобным в реализации МКЭ оказался подход, основанный на вариационных принципах механики.



<== предыдущая лекция | следующая лекция ==>
Математические модели для анализа на микроуровне | Метод конечных элементов для анализа механической прочности


Карта сайта Карта сайта укр


Уроки php mysql Программирование

Онлайн система счисления Калькулятор онлайн обычный Инженерный калькулятор онлайн Замена русских букв на английские для вебмастеров Замена русских букв на английские

Аппаратное и программное обеспечение Графика и компьютерная сфера Интегрированная геоинформационная система Интернет Компьютер Комплектующие компьютера Лекции Методы и средства измерений неэлектрических величин Обслуживание компьютерных и периферийных устройств Операционные системы Параллельное программирование Проектирование электронных средств Периферийные устройства Полезные ресурсы для программистов Программы для программистов Статьи для программистов Cтруктура и организация данных


 


Не нашли то, что искали? Google вам в помощь!

 
 

© life-prog.ru При использовании материалов прямая ссылка на сайт обязательна.

Генерация страницы за: 0.064 сек.