русс | укр

Языки программирования

ПаскальСиАссемблерJavaMatlabPhpHtmlJavaScriptCSSC#DelphiТурбо Пролог

Компьютерные сетиСистемное программное обеспечениеИнформационные технологииПрограммирование

Все о программировании


Linux Unix Алгоритмические языки Аналоговые и гибридные вычислительные устройства Архитектура микроконтроллеров Введение в разработку распределенных информационных систем Введение в численные методы Дискретная математика Информационное обслуживание пользователей Информация и моделирование в управлении производством Компьютерная графика Математическое и компьютерное моделирование Моделирование Нейрокомпьютеры Проектирование программ диагностики компьютерных систем и сетей Проектирование системных программ Системы счисления Теория статистики Теория оптимизации Уроки AutoCAD 3D Уроки базы данных Access Уроки Orcad Цифровые автоматы Шпаргалки по компьютеру Шпаргалки по программированию Экспертные системы Элементы теории информации

Выбор методов анализа во временной области


Дата добавления: 2015-08-06; просмотров: 794; Нарушение авторских прав


Анализ процессов в проектируемых объектах можно производить во временной и частотной областях. Анализ во временной области (динамический анализ) позволяет получить картину переходных процессов, оценить динамические свойства объекта, он является важной процедурой при исследовании как линейных, так и нелинейных систем.

Методы анализа во временной области, используемые в универсальных программах анализа в САПР, — это численные методы интегрирования систем обыкновенных дифференциальных уравнений (СОДУ):

Другими словами, это методы алгебраизации дифференциальных уравнений. Формулы интегрирования СОДУ могут входить в математическую модель (ММ) независимо от компонентных уравнений или быть интегрированными в ММ компонентов, как это выполнено в узловом методе.

От выбора метода решения СОДУ существенно зависят такие характеристики анализа, как точность и вычислительная эффективность. Эти характеристики определяются прежде всего типом и порядком выбранного метода интегрирования СОДУ.

Применяют два типа методов интегрирования — явные методы (иначе экстраполяционные или методы, основанные на формулах интегрирования вперед), и неявные методы (интерполяционные, основанные на формулах интегрирования назад). Различия между ними удобно показать на примере простейших методов первого порядка — методов Эйлера.

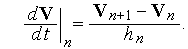
Формула явного метода Эйлера представляет собой следующую формулу замены производных в точке :

Здесь индекс равен номеру шага интегрирования; — размер шага интегрирования (обычно называют просто шагом интегрирования). В формуле неявного метода Эйлера использовано дифференцирование назад:

где .

Выполним сравнительный анализ явных и неявных методов на примере модельной задачи:

(1)

при ненулевых начальных условиях и при использовании методов Эйлера с постоянным шагом . Здесь — постоянная матрица; — вектор фазовых переменных.



При алгебраизации явным методом имеем

или

где — единичная матрица. Вектор можно выразить через вектор начальных условий :

(2)

Обозначим

(3)

и применим преобразование подобия для матрицы

Здесь — преобразующая матрица; — диагональная матрица с собственными значениями матрицы на диагонали. Нетрудно видеть, что

Из линейной алгебры известно, что собственные значения матриц, связанных арифметическими операциями, оказываются связанными такими же преобразованиями. Поэтому из (3) следует

Точное решение модельной задачи (1) , следовательно, условием устойчивости процесса численного решения можно считать откуда последовательно получаем

так как , то , поскольку , то и условие устойчивости

(4)

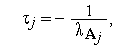
Известно, что для физически устойчивых систем собственные значения матрицы коэффициентов в ММС оказываются отрицательными. Если к тому же все вещественные величины (характер процессов в ММС с моделью (1) апериодический), то естественно определить постоянные времени физической системы как и условие (4) конкретизируется следующим образом

или

(5)

где — минимальная постоянная времени. Если использовать явные методы более высокого порядка, то может увеличиться коэффициент перед в (5), но это принципиально не меняет оценки явных методов.

Если нарушено условие (5), то происходит потеря устойчивости вычислений, а это означает, что в решении задачи возникают ложные колебания с увеличивающейся от шага к шагу амплитудой и быстрым аварийным остановом ЭВМ вследствие переполнения разрядной сетки. Конечно, ни о какой адекватности решения говорить не приходится.

Для соблюдения (5) применяют те или иные алгоритмы автоматического выбора шага. Отметим, что в сложной модели расчет для непосредственного выбора шага по (5) слишком трудоемок, кроме того, однократный расчет мало эффективен, так как в нелинейных моделях может изменяться от шага к шагу.

Условие (5) накладывает жесткие ограничения на шаг интегрирования. В результате вычислительная эффективность явных методов резко падает с ухудшением обусловленности ММС. В самом деле, длительность моделируемого процесса должна быть соизмеримой с временем успокоения системы после возбуждающего воздействия, т.е. соизмерима с максимальной постоянной времени . Требуемое число шагов интегрирования равно

Отношение называют разбросом постоянных времени или числом обусловленности. Более строго число обусловленности матрицы определяется как , а число обусловленности системы уравнений как Чем больше это число, тем хуже обусловленность. Попытки применения явных методов к любым ММС чаще всего приводят к недопустимо низкой вычислительной эффективности, поскольку в реальных моделях — обычная ситуация. Поэтому в настоящее время в универсальных программах анализа явные методы решения СОДУ не применяют.

Аналогичный анализ числовой устойчивости неявных методов дает следующие результаты. Вместо (2) имеем

и условие числовой устойчивости принимает вид:

которое выполняется при любых . Следовательно, неявный метод Эйлера обладает так называемой A-устойчивостью.



<== предыдущая лекция | следующая лекция ==>
 | Примечание 1


Карта сайта Карта сайта укр


Уроки php mysql Программирование

Онлайн система счисления Калькулятор онлайн обычный Инженерный калькулятор онлайн Замена русских букв на английские для вебмастеров Замена русских букв на английские

Аппаратное и программное обеспечение Графика и компьютерная сфера Интегрированная геоинформационная система Интернет Компьютер Комплектующие компьютера Лекции Методы и средства измерений неэлектрических величин Обслуживание компьютерных и периферийных устройств Операционные системы Параллельное программирование Проектирование электронных средств Периферийные устройства Полезные ресурсы для программистов Программы для программистов Статьи для программистов Cтруктура и организация данных


 


Не нашли то, что искали? Google вам в помощь!

 
 

© life-prog.ru При использовании материалов прямая ссылка на сайт обязательна.

Генерация страницы за: 0.298 сек.