Фазовыми переменными в гидравлических системах являются расходы и давления. Как и в предыдущем случае, компонентные уравнения описывают свойства жидкости рассеивать или накапливать энергию.
Рассмотрим компонентные уравнения для жидкости на линейном участке трубопровода длиной
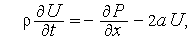
и воспользуемся уравнением Навье-Стокса в следующей его форме (для ламинарного течения жидкости):

где
— плотность жидкости;
— скорость;
— давление;
— коэффициент линеаризованного вязкого трения. Так как
, где
— объемный расход;
— площадь поперечного сечения трубопровода, то, заменяя пространственную производную отношением конечных разностей, имеем:

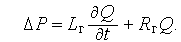
или
(11)
Здесь
— падение давления на рассматриваемом участке трубопровода;
— гидравлическая индуктивность, отражающая инерционные свойства жидкости;
— гидравлическое сопротивление, отражающее вязкое трение.