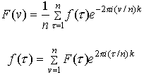
Определения преобразования Фурье, обсужденные выше, не являются единственно возможными. Например, следующие определения для дискретного преобразования Фурье и его обращения можно найти в книге Ronald Bracewells, The Fourier Transform and Its Applications (McGraw-Hill, 1986):

Эти определения весьма распространены в технической литературе. Чтобы использовать эти определения вместо обсужденных в предыдущем разделе, используйте функции FFT, IFFT, CFFT и ICFFT. Они отличаются следующим:
· Вместо коэффициента 1/
перед обеими формулами в прямом преобразовании стоит коэффициент 1/n, и коэффициент 1 в обратном преобразовании.
· Знак минус появляется в показателе экспоненты прямого преобразования и исчезает в формуле обратного.
Функции FFT, IFFT, CFFT и ICFFT используются аналогично функциям, обсужденным в предыдущем разделе.