русс | укр

Языки программирования

ПаскальСиАссемблерJavaMatlabPhpHtmlJavaScriptCSSC#DelphiТурбо Пролог

Компьютерные сетиСистемное программное обеспечениеИнформационные технологииПрограммирование

Все о программировании


Linux Unix Алгоритмические языки Аналоговые и гибридные вычислительные устройства Архитектура микроконтроллеров Введение в разработку распределенных информационных систем Введение в численные методы Дискретная математика Информационное обслуживание пользователей Информация и моделирование в управлении производством Компьютерная графика Математическое и компьютерное моделирование Моделирование Нейрокомпьютеры Проектирование программ диагностики компьютерных систем и сетей Проектирование системных программ Системы счисления Теория статистики Теория оптимизации Уроки AutoCAD 3D Уроки базы данных Access Уроки Orcad Цифровые автоматы Шпаргалки по компьютеру Шпаргалки по программированию Экспертные системы Элементы теории информации

Тригонометрические функции и обратные им.


Дата добавления: 2015-07-23; просмотров: 598; Нарушение авторских прав


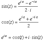
Тригонометрические функции Mathcad и обратные им определены для любого комплексного аргумента. Они также возвращают комплексные значения везде, где необходимо. Результаты для комплексных значений вычисляются с использованием тождеств:

Для применения этих функций к каждому элементу вектора или матрицы используйте оператор векторизации.

Обратите внимание, что все эти тригонометрические функции используют аргумент, выраженный в радианах. Чтобы перейти к градусам, используется встроенная единица deg. Например, чтобы вычислить синус 45 градусов, введите sin(45*deg).

Имейте в виду, что из-за ошибок округления, свойственных машинной арифметике, Mathcad может возвращать очень большое число в той точке, где находится особенность вычисляемой функции. Вообще, необходимо быть осторожным при вычислениях в окрестности таких точек.

sin(z) Возвращает синус z. В прямоугольном треугольнике это — отношение длины противолежащего катета к длине гипотенузы.
cos(z) Возвращает косинус z. В прямоугольном треугольнике это — отношение длины прилежащего катета к длине гипотенузы.
tan(z) Возвращает (sin(z)/cos(z)), тангенс z. В прямоугольном треугольнике это — отношение длины противолежащего катета к длине прилежащего катета; z не должен быть кратным p/2.
csc(z) Возвращает 1/sin(z), косеканс z; z не должен быть кратным p.
sec(z) Возвращает 1/cos(z), секанс z; z не должен быть кратным p/2.
cot(z) Возвращает 1/tan(z), котангенс z; z не должен быть кратным p.

Обратные тригонометрические функции, приведенные ниже, возвращают угол в радианах между 0 и 2p. Чтобы преобразовать этот результат в градусы, можно также пользоваться встроенной единицей deg или напечатать deg в поле единиц.

Из-за ошибок округления, свойственных машинной арифметике, в результате вычисления atan достаточно большого числа получается значение . Как правило, лучше всего избегать численных вычислений около таких особенностей.



asin(z) Возвращает угол (в радианах), чей синус — z.
acos(z) Возвращает угол (в радианах), чей косинус — z.
atan(z) Возвращает угол (в радианах), чей тангенс — z.


<== предыдущая лекция | следующая лекция ==>
Функции, которые Вы записываете сами | Гиперболические функции


Карта сайта Карта сайта укр


Уроки php mysql Программирование

Онлайн система счисления Калькулятор онлайн обычный Инженерный калькулятор онлайн Замена русских букв на английские для вебмастеров Замена русских букв на английские

Аппаратное и программное обеспечение Графика и компьютерная сфера Интегрированная геоинформационная система Интернет Компьютер Комплектующие компьютера Лекции Методы и средства измерений неэлектрических величин Обслуживание компьютерных и периферийных устройств Операционные системы Параллельное программирование Проектирование электронных средств Периферийные устройства Полезные ресурсы для программистов Программы для программистов Статьи для программистов Cтруктура и организация данных


 


Не нашли то, что искали? Google вам в помощь!

 
 

© life-prog.ru При использовании материалов прямая ссылка на сайт обязательна.

Генерация страницы за: 0.355 сек.