русс | укр

Языки программирования

ПаскальСиАссемблерJavaMatlabPhpHtmlJavaScriptCSSC#DelphiТурбо Пролог

Компьютерные сетиСистемное программное обеспечениеИнформационные технологииПрограммирование

Все о программировании


Linux Unix Алгоритмические языки Аналоговые и гибридные вычислительные устройства Архитектура микроконтроллеров Введение в разработку распределенных информационных систем Введение в численные методы Дискретная математика Информационное обслуживание пользователей Информация и моделирование в управлении производством Компьютерная графика Математическое и компьютерное моделирование Моделирование Нейрокомпьютеры Проектирование программ диагностики компьютерных систем и сетей Проектирование системных программ Системы счисления Теория статистики Теория оптимизации Уроки AutoCAD 3D Уроки базы данных Access Уроки Orcad Цифровые автоматы Шпаргалки по компьютеру Шпаргалки по программированию Экспертные системы Элементы теории информации

Методические указания


Дата добавления: 2015-07-23; просмотров: 671; Нарушение авторских прав


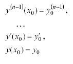
Численное решение дифференциального уравнения n-го порядка

с начальными условиями

на отрезке x Î[x0, xK]в MathCAD может быть найдено при помощи функции odesolve (x, xK, steps). Здесь x – переменная дифференцирования; xK– правая граница отрезка, на котором ищется решение; steps – необязательный параметр, определяющий число шагов разбиения интервала [x0, xK]для нахождения решения дифференциального уравнения.

Ввод дифференциального уравнения и начальных условий производится в блоке, начинающемся с директивы given ("дано").

Рассмотрим пример. Пусть требуется найти решение дифференциального уравнения y’’ + 2 y+ 3 y = sin x с начальными условиями y (0) = 1 и y(0) = 0 на отрезке x Î[0, 20]. Решение данного уравнения проиллюстрировано на рис. 20.

Замечанияк решению дифференциального уравнения (рис. 20).

1 Ввод знака равенства в дифференциальном уравнении и в начальных условиях производится при помощи кнопки палитры "Сравнения и отношения".

 

 

Рис. 20Пример решения дифференциального уравнения

 

2 Знак производной ("штрих") вводится кнопкой клавиатуры . При этом, если необходимо ввести четвертую производную, то необходимо ввести четыре "штриха", пятую – пять "штрихов" и т.д.

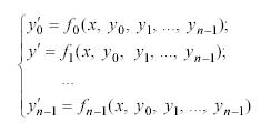
Численное решение системы из n дифференциальных уравнений первого порядка

с начальными условиями

на отрезке x Î[x0, xK]в MathCAD может быть найдено при помощи функции rkfixed (y, x0, xK, n, F), которая возвращает полученную методом Рунге-Кутта с фиксированным шагом таблицу решения системы.

При этом начальные условия необходимо задать в виде вектора y, а правые части системы уравнений в виде вектора F; n – число точек разбиения заданного интервала [x0 , xK].

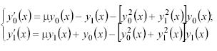
Например, пусть дана система дифференциальных уравнений



с начальными условиями

а параметр m = -0,1 . Требуется найти решение данной системы дифференциальных уравнений на интервале x Î[0, 20].

Рис. 21Решение системы дифференциальных уравнений

Решение данной задачи в MathCAD представлено на рис. 21.

Приближенное решение системы, получаемое данным методом, представляется табличной функцией, заданной в 100 точках (n = 0, 1, …, 99). При этом первый столбец матрицы решения Y соответствует x, второй – переменной y0, а третий – y1(рис. 21).

Кроме функций решения дифференциальных уравнений odesolve и rkfixed, в MathCAD существует и ряд других, например, rkadapt и bulstoer.

 



<== предыдущая лекция | следующая лекция ==>
Задания для самостоятельной работы | Задания для самостоятельной работы


Карта сайта Карта сайта укр


Уроки php mysql Программирование

Онлайн система счисления Калькулятор онлайн обычный Инженерный калькулятор онлайн Замена русских букв на английские для вебмастеров Замена русских букв на английские

Аппаратное и программное обеспечение Графика и компьютерная сфера Интегрированная геоинформационная система Интернет Компьютер Комплектующие компьютера Лекции Методы и средства измерений неэлектрических величин Обслуживание компьютерных и периферийных устройств Операционные системы Параллельное программирование Проектирование электронных средств Периферийные устройства Полезные ресурсы для программистов Программы для программистов Статьи для программистов Cтруктура и организация данных


 


Не нашли то, что искали? Google вам в помощь!

 
 

© life-prog.ru При использовании материалов прямая ссылка на сайт обязательна.

Генерация страницы за: 2.072 сек.