Оператор производной
предназначен для нахождения численного значения производной функции в заданной точке.
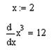
Например, чтобы найти производную
по x в точке x=2 надо сначала определить точку, в которой необходимо найти производную, затем набрать выражение, которое нужно дифференцировать и нажать знак равенства.

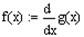
Хотя дифференцирование возвращает только одно число, можно определить одну функцию как производную другой функции. Например,
. Вычисление
будет возвращать в численной форме производную
в заданной точке.
Эта методика может быть использована для вычисления производной функции в последовательности точек.

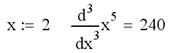
Существует оператор для вычисления производной n-ного порядка.
