русс | укр

Языки программирования

ПаскальСиАссемблерJavaMatlabPhpHtmlJavaScriptCSSC#DelphiТурбо Пролог

Компьютерные сетиСистемное программное обеспечениеИнформационные технологииПрограммирование

Все о программировании


Linux Unix Алгоритмические языки Аналоговые и гибридные вычислительные устройства Архитектура микроконтроллеров Введение в разработку распределенных информационных систем Введение в численные методы Дискретная математика Информационное обслуживание пользователей Информация и моделирование в управлении производством Компьютерная графика Математическое и компьютерное моделирование Моделирование Нейрокомпьютеры Проектирование программ диагностики компьютерных систем и сетей Проектирование системных программ Системы счисления Теория статистики Теория оптимизации Уроки AutoCAD 3D Уроки базы данных Access Уроки Orcad Цифровые автоматы Шпаргалки по компьютеру Шпаргалки по программированию Экспертные системы Элементы теории информации

Операторы вычисления сумм и произведений


Дата добавления: 2015-07-23; просмотров: 4421; Нарушение авторских прав


Оператор суммирования вычисляет сумму выражений по всем значениям индекса. Оператор произведения работает аналогично – вычисляет произведение выражений по всем значениям индекса.

Чтобы создать оператор суммирования в рабочем документе нужно на панели Матанализ выбрать команду Суммирование или Суммирование по дискретному аргументу . В первом случае на экране появляется знак суммирования с четырьмя пустыми полями, во втором – с двумя.

Чтобы создать оператор произведения нужно выбрать команду Произведение или Произведение по дискретному аргументу . В первом случае на экране появляется знак произведения с четырьмя пустыми полями, во втором – с двумя.

Рассмотрим оператор суммирования .

В нижнем поле слева от знака «=» ввести имя переменной. Эта переменная – индекс суммирования. Она определена только внутри оператора суммирования. Вне оператора может существовать другая переменная с тем же именем.

В поле справа от знака «=» ввести число или любое выражение, принимающее целое значение (определяется начало суммирования).

В поле над знаком суммы вводится целое число или любое выражение, принимающее целое значение (определяется конец суммирования).

В поле справа от знака суммирования вводится выражение, которое необходимо просуммировать.

После набора знака равенства появляется результат суммирования. При суммировании индекс суммирования меняется с шагом 1.

Чтобы вычислить кратную сумму, поместить второй оператор суммы в поле выражения первого оператора суммы.

 

Аналогично создается оператор произведения.

Примеры.

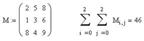
Суммирование всех элементов матрицы.

 

Обобщенный вид этих операторов позволяет использовать любой дискретный аргумент как индекс суммирования или произведения. Чтобы использовать эти операторы, сначала надо определить дискретный аргумент.



Пример.

Задание.Вычислить сумму:

Вычислить произведение:

 



<== предыдущая лекция | следующая лекция ==>
Стиль заливки и линий | Вычисление численных значений производных


Карта сайта Карта сайта укр


Уроки php mysql Программирование

Онлайн система счисления Калькулятор онлайн обычный Инженерный калькулятор онлайн Замена русских букв на английские для вебмастеров Замена русских букв на английские

Аппаратное и программное обеспечение Графика и компьютерная сфера Интегрированная геоинформационная система Интернет Компьютер Комплектующие компьютера Лекции Методы и средства измерений неэлектрических величин Обслуживание компьютерных и периферийных устройств Операционные системы Параллельное программирование Проектирование электронных средств Периферийные устройства Полезные ресурсы для программистов Программы для программистов Статьи для программистов Cтруктура и организация данных


 


Не нашли то, что искали? Google вам в помощь!

 
 

© life-prog.ru При использовании материалов прямая ссылка на сайт обязательна.

Генерация страницы за: 2.549 сек.