Формула n-го члена геометрической прогрессии имеет вид:

Последовательность (bn) является геометрической прогрессией тогда и только тогда, когда каждый ее член, начиная со второго, есть среднее геометрическое соседних с ним членов, т.е.

Произведение членов, равноотстоящих от концов прогрессии, есть величина постоянная.

Сумма
Сумма n первых членов геометрической прогрессии (bn) обозначается Sn, т.е.

Формулы нахождения суммы

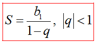
Нахождение суммы бесконечно убывающей геометрической прогрессии:

Математика->Треугольники->основные понятия, равенство треугольников->