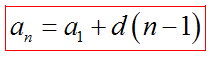
Формула n-го числа арифметической прогрессии имеет вид:

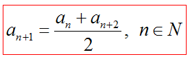
Последовательность (аn) является арифметической прогрессией тогда и только тогда, когда любой ее член, начиная со второго, является средним арифметическим предшествующего и последующего членов, т.е.

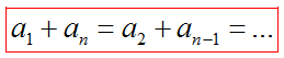
Сумма членов, равноудаленных от концов прогрессии, есть величина постоянная

Сумма
Сумма первых n членов арифметической прогрессии (аn) обозначается Sn, т.е.

Формулы нахождения суммы

Математика->Арифметическая и геометрическая прогрессии->геометрическая прогрессия->