(вычисление определенного интеграла)

Свойства определенного интеграла

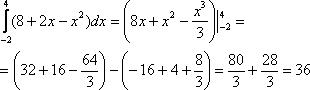
Пример.Вычислить определённый интеграл
.
Решение

Приложение определенного интеграла
1.Вычисление площади криволинейной трапеции, ограниченной линиями:
а)
б) 

y y a b х
y=f(x)
y=f(x)
в)
y
y=f(x) y=g(x)
a b x

Пример 1.Вычислить площадь фигуры, ограниченной линиями
.