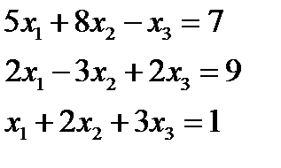
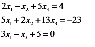
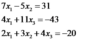
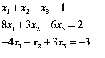
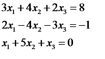
Решите систему линейных уравнений методом Крамера:
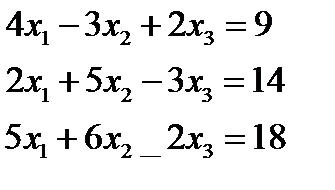
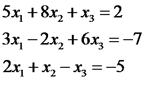
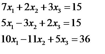
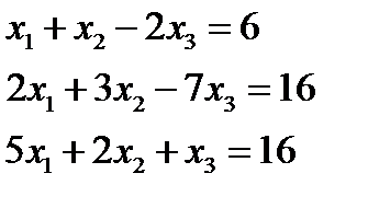
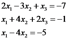
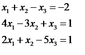
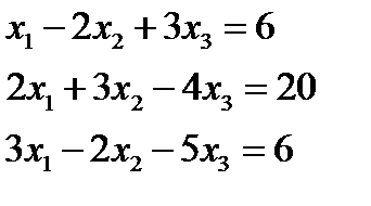
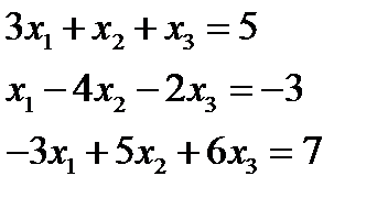
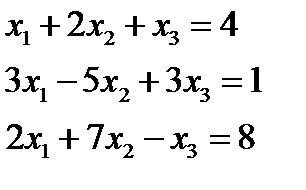
Решить СЛАУ методами Крамера, Гаусса и средствами матричного исчисления:
1. 2.

3. 4.

5. 6.

7. 8.

9. 10.

11. 12.

13. 14.

15.
1 
Задание 11
А)Напишите в развернутом виде и исследуйте на сходимость ряд с положительными числами;