Найти производную функции и вычислить значение производной в точке:
1. f (x) =
; f '(–1) = ?
2. f (x) = ln tg(1–2sin2x) ; f '
= ?
3. f (x) = x ∙ e2
+ 3cos2x ; f '(0) = ?
4. f (x) = tg2x – ctg2x ; f '
= ?
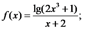
5.
f '(2) = ?
6.
f '(2) = ?
7.
f '(2) = ?
8.


10.

11.

12.
f '
= ?
13.
f '
= ?
14.
f '
= ?
15.
f '
= ?
Задание 5
Исследуйте функцию, постройте график:
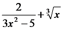
1. 
2. 
3. 
4. 
5. 
6. 
7. 
8. 
9. 
10. 
11. 
12. 
13. 
14. 
15. 
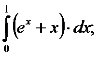
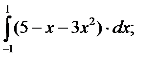
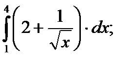
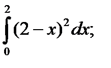
Задание 6
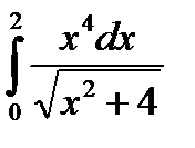
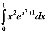
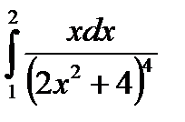
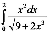
Вычислить интегралы:
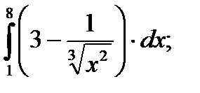
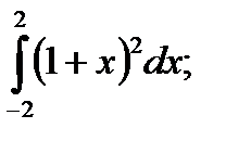
1. а)
б) 
2. а)
б) 
3. а)
б) 
4. а)
б) 
5. а)
б) 
6. а)
б) 
7. а)
б) 
8. а)
б) 
9. а)
б) 
10. а)
б) 
11. а)
б) 
12. а)
б) 
13. а)
б) 
14. а)
б) 
15. а)
б) 