ТАГАНРОГСКИЙ ПОЛИТЕХНИЧЕСКИЙ ИНСТИТУТ – ФИЛИАЛ
ФЕДЕРАЛЬНОГО ГОСУДАРСТВЕННОГО БЮДЖЕТНОГО ОБРАЗОВАТЕЛЬНОГО
УЧРЕЖДЕНИЯ ВЫСШЕГО ПРОФЕССИОНАЛЬНОГО ОБРАЗОВАНИЯ
«ДОНСКОЙ ГОСУДАРСТВЕННЫЙ ТЕХНИЧЕСКИЙ УНИВЕРСИТЕТ»
(ТПИ – филиал ДГТУ)
МЕТОДИЧЕСКИЕ РЕКОМЕНДАЦИИ
ПО УЧЕБНОЙ ДИСЦИПЛИНЕ:
«МАТЕМАТИКА»
СПЕЦИАЛЬНОСТЬ:
ТЕХНОЛОГИЯ МАШИНОСТРОЕНИЯ»,
(ЗАОЧНАЯ ФОРМА ОБУЧЕНИЯ)
Таганрог
Г.
МИНИСТЕРСТВО ОБРАЗОВАНИЯ И НАУКИ РОССИЙСКОЙ ФЕДЕРАЦИИ
ТАГАНРОГСКИЙ ПОЛИТЕХНИЧЕСКИЙ ИНСТИТУТ – ФИЛИАЛ
ФЕДЕРАЛЬНОГО ГОСУДАРСТВЕННОГО БЮДЖЕТНОГО ОБРАЗОВАТЕЛЬНОГО
УЧРЕЖДЕНИЯ ВЫСШЕГО ПРОФЕССИОНАЛЬНОГО ОБРАЗОВАНИЯ
«ДОНСКОЙ ГОСУДАРСТВЕННЫЙ ТЕХНИЧЕСКИЙ УНИВЕРСИТЕТ»
Методические рекомендации по учебной дисциплине: «Математика» специальности:
Технология машиностроения»
(заочная форма обучения)
Разработчик (ки)
Преподаватель
«___» ____________ 2013г. С.Б.Грунская
Методические рекомендации рассмотрены и одобрены на заседании цикловой методической комиссии математических и естественнонаучных дисциплин
Протокол №____ от «___» ______ 2013г.
Председатель ЦМК
«___» ____________ 20 ___г. С.А.Моторина
СОГЛАСОВАНО
Зам. директора по УМР
«___» ____________ 20 ___г. А.Д.Телеш
Зав. учебной части
«___» ____________ 20 ___г. И.В.Капц
Задание 1
Для данных множеств найти: 
1. A={-4;-3;-2;0;1;2;3;4;4;7;15}; B={-1;0;2;3;4;5;6;9;10;14;16};
C={-2;-3;-1;1;2;3;6;7;8;13}; D={-3;-1;0;2;4;5;7;8;9}
2. A={-3;-1;0;2;4;5;7;8;11;12;14}; B={-2;-1;0;1;2;3;5;6;8;9;12};
C={0;1;2;3;5;6;8;9;10}; D={-1;-2;0;1;2;3;5;7;9;11;13;14};
3. A={-6;-5;-3;-1;1;3;4;5;8;9}; B={-2;-1;1;3;4;6;8;9;10;11};
C={-4;-2;-1;1;2;3;4;6;8;9}; D={-5;-3;-2;-1;0;2;4;5;9;10};
4. A={-5;-4;-2;-1;0;2;3;4;7;10;11;12}; B={-4;-3;-2-1;2;4;5;6;11};
C={-4;-3;-2;1;3;4;6;8;12;13;14}; D={-3;-2;-1;1;2;3;6;7;8;9;10};
5. A={-6;-5;-2;0;2;4;6;7;11;12;15;16}; B={-4;-3;-2;-1;1;3;4;5;6;10;11;13};
C={-4;-3;-2;0;1;3;4;8;9;12;13;14;16}; D={-3;-2;-1;2;3;5;6;8;10;12;14;15};
6. A={-3;-2;-1;0;4;8;10;12;14;16;17;18}; B={-6;-4;-3;-1;2;3;4;7;8;10;12};
C={-8;-7;-6;-4;-3;0;2;4;7;8;11;13;14}; D={-1;0;2;3;4;5;6;9;10;14;16};
7. A={0;1;2;3;5;6;8;9;10}; B={-4;-3;-2-1;2;4;5;6;11};
C={-4;-3;-2-1;2;4;5;6;11}; D={-1;-2;0;1;2;3;5;7;9;11;13;14};
8. A={-2;-1;1;3;4;6;8;9;10;11};B=={-5;-3;-2;-1;0;2;4;5;9;10};
C={-6;-4;-3;-1;0;3;7;9;10;12;14;16}; D={-4;-2;-1;3;5;8;11;12;14;15};
9. A={-3;-2;-1;2;3;5;6;8;10;12;14;15};B={-4;-3;-2-1;2;4;5;6;11};
C={-7;-6;-5;-4;-3;0;1;2;4;5;6;11}; D={-6;-5;-3;-2;-1;1;3;5;6;8;10;12;13}
10. A={-1;0;2;3;4;5;6;9;10;14;16}; B={-6;-4;-3;-1;2;3;4;7;8;10;12};
C={-6;-5;-2;0;2;4;6;7;11;12;15;16}; D={-4;-3;-2;1;3;4;6;8;12;13;14};
11. A={-4;-2;-1;3;5;8;11;12;14;15}; B={-6;-5;-2;0;2;4;6;7;11;12;15;16};
C={-3;-2;-1;0;4;8;10;12;14;16;17;18}; D={-1;0;2;3;4;5;6;9;10;14;16};
12. A={-4;-3;-2-1;2;4;5;6;11}; B={-1;-2;0;1;2;3;5;7;9;11;13;14};
C={-5;-4;-2;-1;0;2;3;4;7;10;11;12}; D={-4;-3;-2-1;2;4;5;6;11};
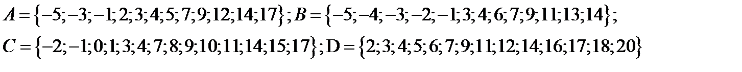
13.

14. A={-6;-4;-3;-1;0;3;7;9;10;12;14;16}; B={-4;-2;-1;3;5;8;11;12;14;15};
C={-3;-2;-1;0;4;8;10;12;14;16;17;18}; D={-6;-4;-3;-1;2;3;4;7;8;10;12};
15. A={-6;-5;-2;0;2;4;6;7;11;12;15;16}; B={-4;-3;-2;1;3;4;6;8;12;13;14};
C={-3;-2;-1;2;3;5;6;8;10;12;14;15};D={-4;-3;-2-1;2;4;5;6;11}.