Синхронный RS-триггер может быть получен на базе асинхронного RS-триггера введением дополнительной лог схемы, которая бы формировала на его входах активные лог уровни только при наличии дополнительного сигнала синхронизации.
И-НЕ: ИЛИ-НЕ:

Карты Вейча:

D-триггер снабжен 1-м информационным входом (вход D), информация с которого по определению входа переписывается на выход триггера только по сигналу синхронизации.
Таблица истинности D-триггера:

Cтруктурная схема D-триггера:

ФАЛ: 
Условные обозначение D-триггера:

Т-триггер – счётный триггер, изменяет своё состояние на противоположное по каждому активному логическому сигналу, действующему на информационном входе Т.
Таблица истинности Т-тригера:

ФАЛ: 
Структурная схема Т-триггера:

по структуре 2-х ступенчатых триггеров (MS-триг.) могут быть построены любые другие
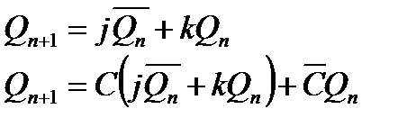
JK-триггер – наиболее универсальный триггер, так как на его основе могут быть реализованы практически все триггеры.
Таблица истинности: 
Фал: 
Структура:

Условные обозначения:
: ИЛИ-НЕ: