русс | укр

Языки программирования

ПаскальСиАссемблерJavaMatlabPhpHtmlJavaScriptCSSC#DelphiТурбо Пролог

Компьютерные сетиСистемное программное обеспечениеИнформационные технологииПрограммирование

Все о программировании


Linux Unix Алгоритмические языки Аналоговые и гибридные вычислительные устройства Архитектура микроконтроллеров Введение в разработку распределенных информационных систем Введение в численные методы Дискретная математика Информационное обслуживание пользователей Информация и моделирование в управлении производством Компьютерная графика Математическое и компьютерное моделирование Моделирование Нейрокомпьютеры Проектирование программ диагностики компьютерных систем и сетей Проектирование системных программ Системы счисления Теория статистики Теория оптимизации Уроки AutoCAD 3D Уроки базы данных Access Уроки Orcad Цифровые автоматы Шпаргалки по компьютеру Шпаргалки по программированию Экспертные системы Элементы теории информации

Решение задачи


Дата добавления: 2014-11-28; просмотров: 624; Нарушение авторских прав


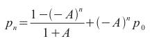
Подставляя (1) и (2) в (3), получим:

а pn - b = - c pn+1 + g.

 

Введем новые положительные константы:

A = a/c>0, B = (b/c + g/c) > 0

Приходим к соотношению:

pn+1 = B - A pn

 

Это уравнение представляет некоторое линейное рекуррентное соотношение, которое позволяет построить последовательность интересующих нас решений p1, p2, p3, ... .

Попробуем вывести общую формулу pn = f(p0).

Пусть p0 задано.

 

Тогда,

p1=B-Ap0

p2=B(1-A)+A^2 p0

p3=B(1-A+A^2)-A^3 p0

 

Некоторая зависимость проглядывается, но вряд ли она очевидна. Но

стоит умножить и разделить первое слагаемое на (1+А) – и все встает на свои

места. Теперь общая формула очевидна:

pn=(B/1+A)(1-(-A)^n)+(-A)^np0

 

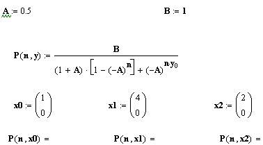
Проведем расчеты для некоторых значений A и B. Предварительное изучение уравнения показывает, что основное влияние на динамику цены оказывает параметр А. Какое именно – выясним, положив В=1.

 

 

Вычислим для различных значений А изменение цены из года в год в

течение 12 лет:

 

Решения задачи на MathCAD:

 

 

Далее уже известным вам из предыдущей лабораторной работы, способом, построим график решения задачи:

 

 

Из полученного графика видно, что не смотря на различные начальные условия цен на пшеницу х0, х1, х2, по прошествии нескольких лет цена на неё приходит к оптимальному значению в ~0.66 у.е. когда спрос равен предложению.

 

 

Варианты заданий:

 

Произвести вычисление на MathCAD’е в соответствии вышеуказанному решению модели спроса-предложения, узнать оптимальную цену на пшеницу за определенное время, изменяя параметры:

 

1. A=0.55, B=1, n=15, x0=1, x1=3, x2=5

2.A=0.6, B=1, n=21, x0=6, x1=3, x2=1

3. A=0.7, B=1.1, n=43, x0=1, x1=3, x2=5



4.A=0.8, B=1, n=50, x0=1, x1=3, x2=5

5.A=0.9, B=1, n=71, x0=4, x1=7, x2=3

6.A=0.5, B=0.9, n=10, x0=3, x1=1, x2=5

7. A=0.57, B=1, n=14, x0=2.5, x1=5, x2=6

8.A=0.45, B=1, n=9, x0=7, x1=3, x2=5

9. A=0.35, B=1, n=11, x0=8, x1=3, x2=5

10.A=0.45, B=1, n=11, x0=7, x1=3, x2=5

11.A=0.85, B=1, n=61, x0=5, x1=3, x2=2

12.A=0.59, B=1.2, n=24, x0=1, x1=5, x2=9

13. A=0.53, B=1, n=11, x0=5, x1=3, x2=4

14.A=0.32, B=1, n=11, x0=1, x1=3, x2=4

15. A=0.38, B=1, n=11, x0=1, x1=2, x2=5

16.A=0.2, B=1, n=5, x0=6, x1=3, x2=5

17.A=0.7, B=1, n=80, x0=4, x1=3, x2=2

18.A=0.57, B=1.1, n=19, x0=3, x1=6, x2=2

19. A=0.6, B=1, n=20, x0=1, x1=3, x2=5

20.A=0.42, B=0.9, n=13, x0=3, x1=5, x2=1

 

 



<== предыдущая лекция | следующая лекция ==>
Содержательная постановка задачи | Модель динамики численности популяции


Карта сайта Карта сайта укр


Уроки php mysql Программирование

Онлайн система счисления Калькулятор онлайн обычный Инженерный калькулятор онлайн Замена русских букв на английские для вебмастеров Замена русских букв на английские

Аппаратное и программное обеспечение Графика и компьютерная сфера Интегрированная геоинформационная система Интернет Компьютер Комплектующие компьютера Лекции Методы и средства измерений неэлектрических величин Обслуживание компьютерных и периферийных устройств Операционные системы Параллельное программирование Проектирование электронных средств Периферийные устройства Полезные ресурсы для программистов Программы для программистов Статьи для программистов Cтруктура и организация данных


 


Не нашли то, что искали? Google вам в помощь!

 
 

© life-prog.ru При использовании материалов прямая ссылка на сайт обязательна.

Генерация страницы за: 2.156 сек.