русс | укр

Языки программирования

ПаскальСиАссемблерJavaMatlabPhpHtmlJavaScriptCSSC#DelphiТурбо Пролог

Компьютерные сетиСистемное программное обеспечениеИнформационные технологииПрограммирование

Все о программировании


Linux Unix Алгоритмические языки Аналоговые и гибридные вычислительные устройства Архитектура микроконтроллеров Введение в разработку распределенных информационных систем Введение в численные методы Дискретная математика Информационное обслуживание пользователей Информация и моделирование в управлении производством Компьютерная графика Математическое и компьютерное моделирование Моделирование Нейрокомпьютеры Проектирование программ диагностики компьютерных систем и сетей Проектирование системных программ Системы счисления Теория статистики Теория оптимизации Уроки AutoCAD 3D Уроки базы данных Access Уроки Orcad Цифровые автоматы Шпаргалки по компьютеру Шпаргалки по программированию Экспертные системы Элементы теории информации

Расчетная часть


Дата добавления: 2014-11-27; просмотров: 1235; Нарушение авторских прав


1. Исследование прямоугольного окна.

1.1 Ширина главного лепестка в зависимости от длины окна:

1.

2.

 

 

3.

 

 

1.1.2. Окно Хэмминга

1.

 

1.

 

 

1.

 

 

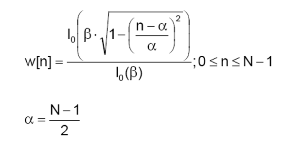
1.1.3 окно Кайзера

а)

 

 

б)

 

 

 

б)

 

 

 

 

1.2 Исследование ширины главного лепестка окна Кайзера при различных значениях параметра

а)

 

 

 

 

1.1.5 Примеры оконных функций и модулей их частотных характеристик

А) Окно Хэмминга:

 

Б) Окно Кайзера

 

 

 

Б) окно Кайзера

 

 

Сравнение результатов исследования

Ширина главного Лепестка в долях от

Тип окна Длина окна N
Прямоугольное 0.219 0.141 0.109
Хэмминга 0.352 0.227 0.164
Кайзера 0.219 0.148 0.109

 

 

Вывод: Ширина главного Лепестка уменьшается с увеличением длины окна для всех типов окон. Наименьшую ширину лепестка имеет прямоугольное окно., наибольшую - окно Хэмминга.

 

Зависимость ширина главного лепестка от параметра для окна Кайзера при N=12.

 

Вывод: Ширина главного лепестка окна Кайзера увеличивается с увеличением параметра .

1.2. Исследование изменения максимального уровня боковых лепестков в зависимости от длины окна:

(relative sidelobe attenuation- difference in height from the mainlobe peak to the highest sidelobe peak- разность в децибелах высоты главного лепестка и максимального уровня боковых лепестков)



1.2.1 Прямоугольное окно.

 

 

 

 

 

1.2.2 Окно Хэмминга

 

 

 

 

 

1.2.3. Окно Кайзера

 

 

 

1.2.4 Исследование изменения максимального уровня боковых лепестков в зависимости от параметра для окна Кайзера:

 

 

 

 

1.2.4 Сравнение полученных результатов

Максимальный относительный уровень боковых лепестков относительно уровня главного лепестка в децибелах:

 

Тип окна Длина окна N
Прямоугольное -12.8 -13.1 -13.1
Хэмминга -33.6 -37.4 -39.4
Кайзера -13.3 -13.3 -13.6

 

 

 

Выводы: наибольшей концентрацией энергии в главном лепестке обладает окно Хэмминга. Для всех окон относительная высота боковых лепестков медленно уменьшается с увеличением длины окна.

Максимальный относительный уровень боковых лепестков относительно уровня главного лепестка в децибелах для окна Кайзера в зависимости от параметра :

 

0.1 0.6
Относительная высота в децибелах -13.1 -13.7 -19.5

 

 

Выводы: Для окна Кайзера с увеличением параметра betta относительная высота боковых лепестков быстро уменьшается

 

2. Исследование ширины переходной зоны синтезированного фильтра

2.1. Прямоугольное окно

3. Окно Хэмминга

Окно Кайзера

 

 

Таким образом, получаем

Ширина переходной зоны

Тип окна Длина окна N
Прямоугольное 0.1 0.07 0.055
Хэмминга 0.318 0.217 0.156
Кайзера 0.104 0.073 0.055

 

 

Вывод: Ширина переходной зоны убывает с возрастанием порядка фильтра, величина переходной зоны примерно одинакова для прямоугольного окна и окна Кайзера, для окна Хэмминга величина переходной зоны значительно больше.

 

Зависимость ширины переходной зоны от параметра betta для окна Кайзера

0.1 0.6
Относительная высота в децибелах N=20 0.096 0.104 0.176

 

Вывод: Для фильтра Кайзера ширина переходной зоны увеличивается с увеличением параметра betta

2.2. Исследование изменения минимального уровня затухания АЧХ

в ПЗ синтезированного фильтра в зависимости от параметров окна

2.2.1 Прямоугольное окно

N=20

 

N=30

N=40

2.2.2. Окно Хэмминга

N=20

N=30

N=40

2.2.3 Окно Кайзера

N=20

N=30

N=40

 

Исследование параметра затухания в переходной зоне фильтра Кайзера в зависимости от параметра betta при N=20

Betta=0.1

Betta=0.6

Betta=2

Таким образом имеем:

 

 

Значение параметра затухания в переходной зоне для фильтров различных типов

 

Тип окна Длина окна N
Прямоугольное 0.113 0.0985 0.0752
Хэмминга 0.034 0.019 0.009
Кайзера 0.105 0.0917 0.067

 

 

Выводы: При увеличении порядка фильтра параметр затухания в переходной зоне уменьшается для всех типов фильтров. Наибольшую степень затухания в переходной зоне имеет фильтр Хэмминга.

Зависимость параметра затухания в переходной зоне от параметра betta для окна Кайзера

0.1 0.6
Относительная высота в децибелах N=20 0.114 0.102 0.037

 

 

Вывод; Для фильтра Кайзера величина затухания в переходной зоне быстро убывает с ростом параметра betta и приближением к оптимальному значению параметра для данного порядка фильтра.

2.3. Исследование изменения минимального порядка N

тезированного фильтра в зависимости от ширины переходной

полосы и отклонений АЧХ в ПП и ПЗ для окна Кайзера

2.3.1. Исследование расчетной длины фильтра в зависимости от ширины переходной зоны при заданной частоте среза

 

Итак, получаем

Зависимость расчетного порядка фильтра Кайзера от ширины переходной зоны при заданной частоте среза 0.15

0.05 0.1 0.2
Минимальный порядок фильтра Кайзера N

Вывод: Требуемый минимальный порядок фильтра Кайзера при увеличении ширины переходной зоны быстро уменьшается.

 

 

Исследование минимального порядка фильтра Кайзера в зависимости от величины Dpass

1) Dpass=0.005

 

2) Dpass=0.01

 

 

3) Dpass=0.02

 

Таким образом, получаем:

Зависимость расчетного порядка фильтра Кайзера от параметра Dpass при фиксированном параметре Dstop

0.005 0.01 0.02
Минимальный порядок фильтра Кайзера N

 

Вывод: При фиксированном значении Dstop минимальный порядок фильтра Кайзера убывает с увеличением Dpass при Dpass<Dstop, при дальнейшем увеличении Dpass минимальный порядок фильтра Кайзера не изменяется, а определяется значением параметра Dstop.

 

Исследование минимального порядка фильтра Кайзера в зависимости от величины Dstop при Dpass=0.01

 

1) Dstop=0.005

 

 

 

Исследование минимального порядка фильтра Кайзера в зависимости от величины Dstop при Dpass=0.01

 

1) Dstop=0.005

 

 

 

2) Dstop=0.01

 

3) Dstop=0.02

 

Таким образом, получаем:

Зависимость расчетного порядка фильтра Кайзера от параметра Dstop при фиксированном параметре Dpass

0.005 0.01 0.02
Минимальный порядок фильтра Кайзера N

 

Вывод: При фиксированном значении Dpass минимальный порядок фильтра Кайзера убывает с увеличением Dstop при Dstop<Dpass, при дальнейшем увеличении Dstop минимальный порядок фильтра Кайзера не изменяется, а определяется значением параметра Dpass.

 



<== предыдущая лекция | следующая лекция ==>
Индивидуальное задание | Аналоговые вычислители: жизнь до и во время эпохи Цифры


Карта сайта Карта сайта укр


Уроки php mysql Программирование

Онлайн система счисления Калькулятор онлайн обычный Инженерный калькулятор онлайн Замена русских букв на английские для вебмастеров Замена русских букв на английские

Аппаратное и программное обеспечение Графика и компьютерная сфера Интегрированная геоинформационная система Интернет Компьютер Комплектующие компьютера Лекции Методы и средства измерений неэлектрических величин Обслуживание компьютерных и периферийных устройств Операционные системы Параллельное программирование Проектирование электронных средств Периферийные устройства Полезные ресурсы для программистов Программы для программистов Статьи для программистов Cтруктура и организация данных


 


Не нашли то, что искали? Google вам в помощь!

 
 

© life-prog.ru При использовании материалов прямая ссылка на сайт обязательна.

Генерация страницы за: 0.564 сек.