русс | укр

Языки программирования

ПаскальСиАссемблерJavaMatlabPhpHtmlJavaScriptCSSC#DelphiТурбо Пролог

Компьютерные сетиСистемное программное обеспечениеИнформационные технологииПрограммирование

Все о программировании


Linux Unix Алгоритмические языки Аналоговые и гибридные вычислительные устройства Архитектура микроконтроллеров Введение в разработку распределенных информационных систем Введение в численные методы Дискретная математика Информационное обслуживание пользователей Информация и моделирование в управлении производством Компьютерная графика Математическое и компьютерное моделирование Моделирование Нейрокомпьютеры Проектирование программ диагностики компьютерных систем и сетей Проектирование системных программ Системы счисления Теория статистики Теория оптимизации Уроки AutoCAD 3D Уроки базы данных Access Уроки Orcad Цифровые автоматы Шпаргалки по компьютеру Шпаргалки по программированию Экспертные системы Элементы теории информации

Парный корреляционный анализ. Построение модели линейной регрессии лингвистической информации


Дата добавления: 2014-10-07; просмотров: 1100; Нарушение авторских прав


Цель: Овладеть умением оценивать величину корреляционной зависимости лингвистических величин, практического построения простой линейной регрессии по экспериментальным данным и проверки её адекватности в пакете анализа данных SPSS.

Задание:На основе полученных статистических данных о числе существительных и местоимений в выбранных фрагментах проверить гипотезу о статистической зависимости частот появления в русских литературных текстах имён существительных и местоимений.

План выполнения работы :

1) Сформировать нулевую Н0 и альтернативную Н1 гипотезы.

2) Найти выборочный коэффициент корреляции по формуле

Сделать вывод о величине и знаке корреляционной зависимости.

3) Проверить значимость связи: если , то выборочный коэффициент корреляции значимо отличается от нуля, те связь значима с уровнем значимости α

( ‑ критическое значение распределения Стьюдента с n-2 степенями свободы, соответствующее уровню значимости α).

Сделать вывод о значимости корреляционной зависимости.

4) Построить корреляционное поле, т.е. изобразить в координатной плоскости все выборочные точки (получим общую картину взаимной изменчивости случайных величин).

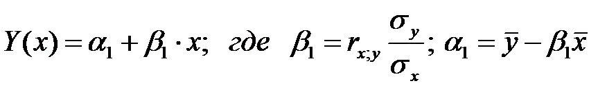
5) Найти и построить уравнения выборочных линий регрессии (уравнения прямых, с помощью которых приближённо можно описать зависимость Y(x) и X(y)) .Уравнения линий регрессий:

(у по х) ;

(х по у)

Сделать вывод о принятии или опровержении гипотезы Н0.

Для решения задачи в программе SPSS выполнить следующее.

1. Построить корреляционную матрицу для переменных Х (частсущ) и Y (частмест), предназначенную для оценки степени их зависимости. Войти в меню Анализ – корреляции – парные. В открывшемся окне "Парные корреляции" перенести с помощью стрелки переменные Х (частсущ) и Y(частмест) в окно "переменные". По умолчанию в окне "коэффициенты корреляции» отмечен коэффициент Пирсона - нажать ОК. В открывшемся окне вывода получаем квадратную корреляционную матрицу, в верхней строчке которой выведены коэффициенты корреляции, далее – уровень значимости и N – число наблюдений.



2. Для того чтобы наглядно увидеть существующую зависимость переменных, построим график двумерного рассеивания. Откроем меню Графика – устаревшие диалоговые окна – рассеяния/точки – простая диаграмма рассеяния – задать. В окне Диаграммы рассеяния переместить переменную Y(частмест) в окно Ось Y, а переменную Х(частсущ) - в окно Ось Х. Нажать ОК.

3. Построим линии регрессии. Откроем меню Анализ >Регрессия> Подгонка кривых.

В открывшемся диалоговом окне переместим в окно "Зависимые" переменную "Частмест", а в окно "Независимые" переменные переменную "Частсущ".В окне"Модели"поставим флажок в квадратике"Линейная" Нажать ОК.

В окне вывода получим точки двумерного рассеяния и линию регрессии Z(Y)

«Одной из закономерностей работы языкового механизма современного русского языка является отрицательное коррелирование имён существительных и местоимений, т. е. увеличение активности одной из этих частей речи за счёт другой».



<== предыдущая лекция | следующая лекция ==>
Обязательным условием применения критерия Стьюдента является принадлежность выборочных распределений к нормальному (проверено в Л.Р. №2) и статистическое равенство дисперсий. | Однофакторный дисперсионный анализ. Исследование влияния стиля речи на частоту употребления глагольных форм.


Карта сайта Карта сайта укр


Уроки php mysql Программирование

Онлайн система счисления Калькулятор онлайн обычный Инженерный калькулятор онлайн Замена русских букв на английские для вебмастеров Замена русских букв на английские

Аппаратное и программное обеспечение Графика и компьютерная сфера Интегрированная геоинформационная система Интернет Компьютер Комплектующие компьютера Лекции Методы и средства измерений неэлектрических величин Обслуживание компьютерных и периферийных устройств Операционные системы Параллельное программирование Проектирование электронных средств Периферийные устройства Полезные ресурсы для программистов Программы для программистов Статьи для программистов Cтруктура и организация данных


 


Не нашли то, что искали? Google вам в помощь!

 
 

© life-prog.ru При использовании материалов прямая ссылка на сайт обязательна.

Генерация страницы за: 0.435 сек.