Определение. Число А называется пределом функции f(x) в точке х0 (
), если для любого сколь угодно малого числа ε > 0 найдется такое число δ = δ(ε) > 0, что для всех х ≠ х0, удовлетворяющих условию |x – x0|< δ, выполняется неравенство |f(x) – A| < ε.
Определение. Число А называется пределом функции f(x) при х→∞ (
), если для любого сколь угодно малого числа ε > 0 найдется такое число М = М(ε) > 0, что для всех х, удовлетворяющих условию |x| > М, выполняется неравенство |f(x) – A| < ε.
Некоторые свойства пределов
Пусть
Тогда:
1. 
2. 
3. 
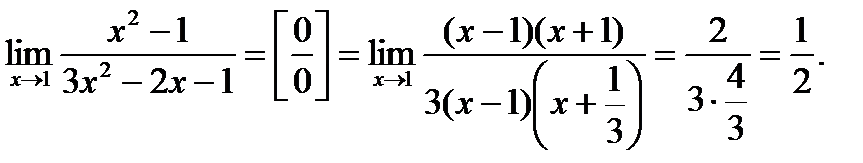
Примеры.
1)
2)
3)

4)
5)
6)
7) 
2.8. Найти пределы:

5)
; 6)
;
7)
; 8)
; 9)
;
10)
; 11)
; 12)
;
13)
; 14)
; 15)
;
16)
; 17)
;
18)
; 19)
; 20)
;
21)
; 22)
; 23)
; 24)
; 25)
; 26)
;
27)
; 28)
; 29)
; 30)
.