Вариант 1.
1. Решить матричное уравнение:
.
2. Решить систему методом Крамера:

3. При каких значениях параметра к система не имеет решений, имеет бесконечно много:

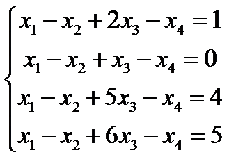
4. Решить методом Гаусса:

Вариант 2.
1. Продуктивна ли матрица:

2. Решить систему матричным методом:

3. Решить методом Гаусса:

4. Решить задачу.
В первенстве России по футболу Спартак и Динамо вместе набрали на 11 очков больше, чем удвоенное число очков ЦСКА, утроенное число очков Динамо на 2 очка меньше, чем сумма удвоенного числа очков Спартака и ЦСКА. Известно, что число очков, набранных каждой командой, лежит в диапазоне от 15 до 25. Найти количество набранных каждой командой очков.
Вариант 3.
1. При каком значении m матрица не имеет обратной:

2. Решить систему матричным методом:

3. Решить методом Гаусса:

4. При каких значениях параметров а, в, с система имеет решение
x = 2, y = 1, z = 3:
