Пример 1.

Решение:
Пример 2.

Решение:

Методзамены переменной (подстановки).
Пример.

Решение:
Методинтегрирования по частям.
По этой формуле берутся следующие типы интегралов:
Тип.





,формула применяется n‒ раз, остальное dv.


Тип.

,формула применяется один раз.
Пример 1.
Решение:
Пример 2.
Решение:


Пример 3.
Решение:





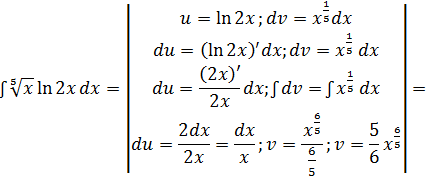
Пример 4.
Решение:

