Рассмотрим случайный процесс Q(t), t ≥ 0 - число требований, находящихся в СМО в момент времени t. Процесс Q(t) является процессом рождения и гибели, если его вероятности переходов из состояния в состояние обладают свойствами:

где Δt > 0, ·(Δt) означает величину более высокого порядка малости, чем Δt , Δt → 0 .
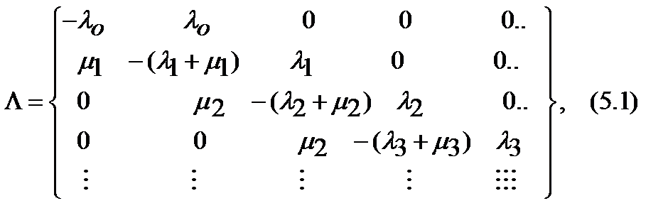
Согласно этим предположениям, приход в систему более чем одного требования и обслуживание более чем одного требования за малый промежуток времени Δt не допускается (в том смысле, что вероятности этих событий имеют порядок ·(Δt)). В схеме рождения и гибели предполагается также, что постоянные λк и µk зависят только от текущего состояния k и не зависят от t и от того, каким путем система пришла в состояние k (т.е. от состояний процесса Q(s) в моменты времени s < t). Отсюда и из свойств 1-3 следует, что случайный процесс Q(t) является однородной цепью Маркова с непрерывным временем, множеством состояний Z+ = {0,1, ...} и инфинитезимальной матрицей

у которой все элементы, кроме стоящих на главной и соседних с ней снизу и сверху диагоналей, равны нулю. Отметим, что µ0 = О (т.к. для процесса Q(t) невозможны отрицательные значения). Если µк = 0 при всех k = 0, 1, 2,...., то процесс Q(t) называют процессом чистого рождения (требования только поступают в СМО, но не обслуживаются). Примером такого процесса может служить процесс Пуассона v(t). Если система такова, что λt = 0 при всех k = 0, 1... (идет процесс обслуживания поступивших ранее требований, новые требования не поступают), то процесс Q(t) называют процессом чистой гибели.