русс | укр

Языки программирования

ПаскальСиАссемблерJavaMatlabPhpHtmlJavaScriptCSSC#DelphiТурбо Пролог

Компьютерные сетиСистемное программное обеспечениеИнформационные технологииПрограммирование

Все о программировании


Linux Unix Алгоритмические языки Аналоговые и гибридные вычислительные устройства Архитектура микроконтроллеров Введение в разработку распределенных информационных систем Введение в численные методы Дискретная математика Информационное обслуживание пользователей Информация и моделирование в управлении производством Компьютерная графика Математическое и компьютерное моделирование Моделирование Нейрокомпьютеры Проектирование программ диагностики компьютерных систем и сетей Проектирование системных программ Системы счисления Теория статистики Теория оптимизации Уроки AutoCAD 3D Уроки базы данных Access Уроки Orcad Цифровые автоматы Шпаргалки по компьютеру Шпаргалки по программированию Экспертные системы Элементы теории информации

Технологический расчет аппарата со ступенчатым контактом фаз.


Дата добавления: 2014-03-24; просмотров: 4199; Нарушение авторских прав


 

Особенность процесса – существенная дискретная неоднородность удельной поверхности контакта фаз по высоте аппарата. Кроме того, в большинстве случаев для них не приемлемо допущение о параллельном движении фаз в режиме идеального вытеснения, которое использовалось при выводе основного уравнения массопередачи.

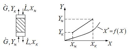
Рассмотрим схему проектного технологического расчёта массообменного аппарата со ступенчатым контактом фаз на примере тарельчатой колонны с противоточным движением газовой и жидкой фаз (рис.1.10).

Расход жидкой фазы , его конечная концентрация, диаметр аппарата и скорости движения фаз и определяется также, как и для аппарата с непрерывным контактом фаз.

Рис. 1.10. Изменение концентраций фаз по высоте тарельчатой колонны (а) и схема тарельки (б)

 

Высоту колонны можно связать с числом тарелок N и межтарельчатым расстоянием :

 

(1.62)

Величина , являясь одним из параметров оптимизации, в первом приближении может определяться из условия максимально допустимого уноса капель газовым потоком. Для различных типов тарелок имеются соотношения связывающие величину уноса с и скоростью газовой фазы .Обычно допускают 0,1 кг жидкости на 1 кг газа.

Основная задача – определение N, обеспечивающих необходимый перенос распределяемого компонента из одной фазы в другую. Для этого вводится понятие эффективности тарелки по Мэрфри (кпд тарелки) , характеризующее степень достижения равновесия между уходящими с тарелки фазами:

(1.63)

где - концентрация распределяемого компонента в газовой фазе, равновесная с уходящим с l-ой тарелки потоком жидкости. Аналогичным образом можно найти , используя концентрации жидкой фазы.

Если , то такую тарелку называют теоретической. Т.е. имеем такой объём аппарата, концентрация распределяемого вещества на выходе из которого равна равновесной концентрации на входе в него: . В этом объёме аппарата происходит процесс полного (теоретического) обмена распределяемого вещества между обеими фазами.



Следует отметить, что при этом составы фаз рассматриваются в различных сечениях аппарата (- над l-ой тарелкой, - под ней). Таким образом, в любом поперечном сечении аппарата равновесие не достигается , иначе отсутствовала бы движущая сила массопередачи.

Рассмотрим различные способы определения число тарелок N.

 

 

Потарелочный расчёт колонны.

Это аналитический метод определения N основан на решение уравнений материального баланса, равновесия и использования эффективности по Мэрфи для каждой тарелки.

Для нижней тарелки под номером 1составы фаз известны .

Рассмотрим вторую тарелку. Запишем необходимые уравнения:

 

уравнение равновесия , (1.64)

уравнение Мэрфри , (1.65)

уравнение рабочей линии , (1.66)

 

Итак нашли составы фаз для тарелки 2. Далее, также для 3 тарелки и т.д.

Для тарелки имеем:

(1.67)

 

(1.68)

 

(1.69)

 

Расчёт заканчивается при значении l, для которого начинает выполняться условие , при этом число тарелок N=l. Поскольку число тарелок в аппарате может достигать сотни и более, данный алгоритм необходимо реализовать на компьютере.

Для ориентировочных расчётов, выполняемых вручную, используют упрощенные графические способы нахождения числа тарелок.

 

Определение числа тарелок с помощью кинетической кривой.

 

Эффективность по Мэрфри рассчитывается не для каждой тарелки, а лишь для нескольких сечений колонны, аналитическое решение уравнений (1.64-1.69) заменяется графическим.

 

Алгоритм действий следующий:

— строятся рабочая и равновесная линии;

— для нескольких сечений аппарата (нескольких рабочих концентраций; ; ) рассчитываются эффективности по Мерфри

—находят величины.

 

(1.70)

— на диаграмме х – у наносятся точки и т.д. Соединяя их получим кинетическую кривую.

— из точки спускаемся по лестнице до тех пор, пока для точки не выполнится условие . На этом построение заканчивается, необходимое число тарелок в колонне .

Таким образом, аналитическое решение заменяется графическим определением число ступеней лестницы.

 

Рис.1.11. Определение числа тарелок с помощью кинетической кривой:

1 – рабочая линия, 2 – равновесная линия, 3 – кинетическая кривая.

Определение числа тарелок с помощью кпд колонны

 

Кпд колонны:

 

(1.71)

где - теоретическое число тарелок, N – действительное число тарелок. Величина находится из опыта. Найти опытным путём достаточно сложно. Необходимы данные по идентичной колонне.

Алгоритм действий следующий:

- аналитическим или графическим способом определяется .

- по известным эмпирическим формулам рассчитывается к.п.д. колонны .

- по формуле (1.71) находят необходимое .

 

 

2. АБСОРБЦИЯ.

 

Абсорбцией называется процесс избирательного поглощения газов или паров из газовых или парогазовых смесей жидким поглотителем – абсорбентом. Если поглощаемый газ – абсорбтив химически не взаимодействует с абсорбентом, то такая абсорбция физическая,

если же абсорбтив образует с абсорбентом химическое соединение, то такой процесс называется хемосорбцией.

Физическая абсорбция обратима, выделение поглощаемого газа из раствора – десорбция. Сочетание абсорбции и десорбции позволяют многократно использовать поглотитель и выделять поглощённый газ в чистом виде. Инертный газ – компонент газовой смеси не переходящий границу раздела фаз.

Абсорбция применяется:

- для получения готового продукта (абсорбция в производстве серной кислоты, абсорбция HCl, оксидов азота водой в производстве азотной кислоты);

- для выделения ценных компонентов из газовых смесей (абсорбция бензола из коксового газа, абсорбция ацетилена из газов крекинга или пиролиза природного газа и т.д.), при этом абсорбцию проводят в сочетании с десорбцией;

- для очистки газовых выбросов от вредных примесей;

- для осушки газов.

 

2.1. Равновесие при абсорбции. Закон Генри.

Система состоит из трёх компонентов (распределяемое вещество А и два распределяющих вещества) и двух фаз – жидкой и газовой. Такая система по правилу фаз имеет три степени свободы: . Для абсорбции переменными являются Т, Р, концентрация компонента А в газовой и жидкой фазах. Следовательно, в состоянии равновесия при Т=const и постоянном общем давлении Р зависимость между парциальным давлением газа или его концентрацией и составом жидкой фазы однозначна. Эта зависимость выражается законом Генри: парциальное давление растворённого газа пропорционально его мольной доле в растворе:

 

(2.1)

где - парциальное давление поглощаемого газа над раствором, находящегося в равновесии, при концентрации раствора , Е – константа Генри. Е не зависит от общего давления в системе, но зависит от природы абсорбента и поглощаемого газа, а также от Т.

Растворимость газа в жидкости при данной температуре пропорционально его парциальному давлению над жидкостью:

 

(2.2)

 

Здесь - концентрация газа в растворе, равновесная с газовой фазой, в которой парциальное давление поглощаемого компонента равна .

Рис.2.1 Растворимость газа в жидкость от Т.

 

Для идеальных растворов на диаграмме р–х (рис.2.1) зависимость равновесных концентраций от давления изображается прямой, с наклоном, равным Е.

Как видно из рис.2.1,чем больше Т, тем меньше растворимость.

Если – молярная доля извлекаемого компонента А в газовой смеси и Р – общее давление в системе, то парциальное давление , по закону Дальтона, можно записать:

 

(2.3)

Тогда, с учетом уравнения (2.1) получим:

 

 

Итак для закона Генри имеем:

 

(2.4)

Здесь - коэффициент распределения, или константа фазового равновесия.

Величина m уменьшается с увеличением Р и снижения Т.

Таким образом, растворимость газа в жидкости растёт с ростом давления и снижения Т.

Когда в равновесии с жидкостью находятся смесь газов, закону Генри может следовать каждый из компонентов смеси в отдельности.

Закон Генри справедлив только для идеальных газов, а также к сильно разбавленным реальным растворам.

Для хорошо растворимых газов, при больших концентрациях их в растворе, растворимость меньше, чем по закону Генри.

Для систем, не подчиняющихся закону Генри, m является величиной переменной и линия равновесия представляет собой кривую, которую строят обычно по опытным данным.

 

При больших давлениях (1 МПа и выше) изменение объёма жидкости вследствие растворения в ней газа соизмеримо с изменением объёма газа и равновесие в этом случае не следует закону Генри. При этих условиях константу фазового равновесия можно определить как:

 

(2.5)

- фугитивность (летучесть) поглощаемого газа, выраженная в единицах давления.

При записи уравнений материального баланса и рабочих линий целесообразно выбрать единицы измерения расходов таковыми, чтобы эти величины не менялись по высоте аппарата. Это сделает рабочие линии прямыми.

При выражении состава фаз не в абсолютных, а в относительных концентрациях видоизменяется и запись закона Генри.

Общая масса фазы, состоящей из распределяемого компонента и 1 кг носителя равна (1+Х) кг (жидкая фаза) и (1+У) кг (газовая фаза). Тогда весовые концентрации х и у распределяемого компонента в фазах:

 

 

Тогда закон Генри запишется:

 

(2.6)

Следовательно, линия равновесия в системе газ – жидкость в координатах Х и У изображается кривой. При малых концентрациях Х в жидкости (2.6) упрощается и принимает вид:

 

В случае абсорбции многокомпонентных смесей парциальное давление каждого компонента в газовой смеси зависит не только от его концентрации в растворе, но и от концентрации в растворе других компонентов, т.е. является функцией большого числа переменных. Поэтому в подобных случаях, равновесные зависимости основываются на опытных данных.

 

2.2. Материальный баланс и расход абсорбента

 

Сначала рассмотрим противоточную абсорбцию. Материальный баланс запишем в виде:

 

Рис.2.2 Противоточная абсорбция.

 

(2.7)

– расход инертного газа (кмоль/с); – расход абсорбента (кмоль/с); - начальная и конечная концентрация абсорбтива в газовой смеси, кмоль/кмоль инертного газа; - начальная и конечная концентрация абсорбтива в в поглотителе кмоль/кмоль абсорбента.

Из уравнения (2.7) обычно определяют :

 

(2.8)

Уравнение (2.7) можно представить в виде:

 

(2.9)

где -удельный расходабсорбента.

Уравнение (2.9) носит название рабочей линии. Она, рабочая линия, в координатах У-Х прямая с углом наклона, тангенс которого равен . Найдём связь с размером аппарата. Заданы . Необходимо найти .

 

 

Рис.2.3. Определение удельного расхода абсорбера .

 

Поскольку известно, точки лежат на одной прямой линиии граничные случаи. При АВ движущая сила максимальна поскольку (см. уравнение (2.8)). При , движущая сила минимальна: в точке она равна нулю. Поэтому должна быть больше .

(2.10)

Для предварительных расчетов, можно принять . Тогда по (2.9) находим . Итак определены искомые величины для противоточного аппарата.

Уравнения материального баланса для прямотока аналогичны уравнениям материального баланса противотока (2.7) – (2.9). Однако для прямотока гораздо меньше аналогичного параметра для противотока (рис.2.4).

Итак имеем:

 

(2.11)

 

 

Согласно уравнению (2.10) получим:

 

 

 

Удельный расход абсорбента при противотоке меньше, чем при прямотоке.

 

Рис.2.4.Прямоточная абсорбция.

 

Эффективность работы массообменного аппарата может быть охарактеризована степенью извлечения распределяемого компонента из отдающей его фазы.

 

Коэффициент извлечения определяется как отношение количества компонента перешедшую в другую фазу к максимально возможному:

 

(2.13)

 

Для одинаковых и при противотоке больше, чем при прямотоке. Этим объясняется преимущественное применение противоточного движения фаз в процессе абсорбции.

 

2.3 Тепловой баланс абсорбции.

 

Рис.2.5. Кривые равновесия при изотермической (OAD) и неизотермической абсорбции (ОАС).

 

При изотермической абсорбции линия равновесия характеризуется кривой OАD (рис.2.5).

В случае неизотермической абсорбции при растворении газа в жидкости температура её повышается вследствиевыделения теплоты. Тогда линия равновесия характеризуется кривой ОАС.

Для технических расчётов нагреванием газа пренебрегают, считают, что вся теплота идёт на нагрев жидкости.

Если известна Т°К при данном составе, то можно найти по справочникам У* на кривой равновесия, соответствующую составу Х. Для этого нужно составить уравнение теплового баланса для части абсорбера, расположенной выше некоторого сечения с текущими концентрациями Х и У соответственно, т.е. в той части аппарата, где произошло поглощение газа:

 

(2.12)

Здесь - дифференциальная теплота растворения газа, кДж/кмоль; - расход абсорбента, моль/с; с – теплоемкость жидкости, кДж/(кмоль·К); Т – температура данного сечения, К; - начальная температура жидкости, К. Находим Т:

 

(2.13)

С помощью (2.13), задаваясь значениями Х в пределах и находим ряд Т и по справочникам далее находим ряд и строим по точкам ОАС.

Как видно из рис.2.5 для случая неизотермической абсорбции произошло уменьшение движущей силы процесса. Чтобы этого избежать необходимо предусмотреть отвод тепла из аппарата.

2.4 Кинетика абсорбции.

Физическая абсорбция. Применительно к абсорбции уравнение массопередачи, если движущую силу выражают в концентрациях газовой фазы, принимает вид:

 

(2.14)

Если движущую силу выразить в концентрациях жидкой фазы, то уравнение массопередачи имеет вид:

 

(2.15)

Коэффициенты массопередачи определяются:

 

(2.16)

 

(2.17)

 

В хорошо растворимых газах m незначительно, а велика, т.е. мало сопротивление в жидкой фазе, тогда и можно принять

.

 

Для плохо растворимых газов можно пренебречь диффузионным сопротивлением в газовой фазе, так как велики и можно принять

.

Для процесса абсорбции в уравнение массопередачи (2.14) молярные концентрации газовой фазы может быть заменены парциальными давлениями газа, выраженными в долях общего давления:

 

(2.18)

Здесь - средняя движущая сила процесса, выраженная в единицах давления; - коэффициент массопередачи, отнесенный к единице движущей силы, выражаемой через парциальные давления поглощаемого газа.

Если равновесная линия прямая, то для получим:

 

(2.19)

 

(2.20)

 

Здесь - соответственно, парциальные давления газа на входе в аппарат и выходе из него; - равновесные парциальные давления газа на входе в аппарат и на выходе из него.

Если парциальное давление выражено в долях общего давления Р, то коэффициенты массопередачи и численно равны, если парциальные давления выражены в единицах давления, то .

 

Хемосорбция. Если химическая реакция идет в жидкой фазе, то часть газообразного компонента переходит в связанное состояние. При этом концентрация свободного компонента в жидкости снижается и увеличивается движущая сила процесса.

В общем случае скорость хемосорбции зависит как от скорости химической реакции, так и от скорости массопередачи между фазами. В зависимости от того, какая скорость определяет общую скорость переноса массы, различают кинетическую и диффузионную области процессов хемосорбции.

В кинетической области скорость собственно химического взаимодействия меньше скорости массопереноса и поэтому лимитирует скорость всего процесса. В диффузионной области лимитирующей стадией является скорость диффузии компонентов в зоне реакции, которая зависит от гидродинамических условий в системе и определяется по основному уравнению массопередачи.

Если скорости химической реакции и массопередачи соизмеримы, то такие процессы абсорбции протекают в смешанной, или диффузионно-кинетической области.

Коэффициент массоотдачи в жидкой фазе при протекании химической реакции можно определить:

 

(2.21)

где Ф – фактор ускорения массообмена, . Для определении Ф можно использоваться графиками построенными для комплекса величин с учетом вида химической реакции.

Лекция 10

2.5 Конструкции абсорберов.

 

Абсорбция протекает на поверхности раздела фаз. Поэтому абсорберы должны обеспечить развитую поверхность контакта фаз. По способу образования поверхности раздела фаз абсорберов можно разделить на 4 группы:

- плёночные

- насадочные

- тарельчатые

- распыливающие.

 

Плёночные абсорберы.

В данных аппаратах поверхностью контакта фаз является поверхность жидкой пленки, стекающий по вертикальной твердой стенке и контактирующей с газовым потоком. Различают следующей аппараты этого вида: трубчатые, с плоскопараллельной насадкой и с восходящим движением пленки.

Трубчатые абсорберы (рис.2.6) аналогичны на конструкции с вертикальными кожухотрубчатыми теплообменниками. Жидкий абсорбент поступает на верхнюю трубную решетку и в виде пленки стекает по внутренней поверхности труб вниз, а навстречу ему движется газовый поток по трубам со скоростью 3 – 6 м/с. Если при абсорбции выделяется тепло, то в межтрубное пространство подается охлаждающий агент.

 

 

Рис.2.6. Трубчатый пленочный абсорбер: 1 – корпус; 2 – трубка; 3 – перегородки.

Рис.2.7. Пленочный абсорбер с плоскопараллельной (листовой) насадкой: 1 – колонна, 2 – пакеты листовой насадки, 3 – распределительное устройство.

 

 

Аппараты с плоскопараллельной насадкой (рис.2.7) представляет собой вертикальную колонну 1, внутри которой расположены вертикально и параллельно друг к другу плоские прямоугольные листы насадки 2, изготовленные из металла, пластмасс и т.д. Жидкий абсорбент течет сверху вниз, а газ снизу вверх.

Аппараты с восходящим движением пленки жидкости (рис.2.8) схожи с трубчатыми абсорберами, однако работают в режиме восходящего прямотока, Газ двигаясь большой скоростью (более 10 м/с) увлекает жидки абсорбент по трубам в виде пленки. Преимущества этих аппаратов по сравнению с противоточными трубчатыми являются большие производительности и коэффициенты массопередачи, а недостатками – большие гидравлические сопротивления, сложность конструкции, меньшие коэффициенты извлечения.

Рис. 2.8. Пленочный абсорбер с восходящем движением жидкости:



<== предыдущая лекция | следующая лекция ==>
Технологический расчет аппарата с непрерывным контактом фаз | Б.п. исключены)


Карта сайта Карта сайта укр


Уроки php mysql Программирование

Онлайн система счисления Калькулятор онлайн обычный Инженерный калькулятор онлайн Замена русских букв на английские для вебмастеров Замена русских букв на английские

Аппаратное и программное обеспечение Графика и компьютерная сфера Интегрированная геоинформационная система Интернет Компьютер Комплектующие компьютера Лекции Методы и средства измерений неэлектрических величин Обслуживание компьютерных и периферийных устройств Операционные системы Параллельное программирование Проектирование электронных средств Периферийные устройства Полезные ресурсы для программистов Программы для программистов Статьи для программистов Cтруктура и организация данных


 


Не нашли то, что искали? Google вам в помощь!

 
 

© life-prog.ru При использовании материалов прямая ссылка на сайт обязательна.

Генерация страницы за: 0.051 сек.