русс | укр

Языки программирования

ПаскальСиАссемблерJavaMatlabPhpHtmlJavaScriptCSSC#DelphiТурбо Пролог

Компьютерные сетиСистемное программное обеспечениеИнформационные технологииПрограммирование

Все о программировании


Linux Unix Алгоритмические языки Аналоговые и гибридные вычислительные устройства Архитектура микроконтроллеров Введение в разработку распределенных информационных систем Введение в численные методы Дискретная математика Информационное обслуживание пользователей Информация и моделирование в управлении производством Компьютерная графика Математическое и компьютерное моделирование Моделирование Нейрокомпьютеры Проектирование программ диагностики компьютерных систем и сетей Проектирование системных программ Системы счисления Теория статистики Теория оптимизации Уроки AutoCAD 3D Уроки базы данных Access Уроки Orcad Цифровые автоматы Шпаргалки по компьютеру Шпаргалки по программированию Экспертные системы Элементы теории информации

Трехфазные цепи.


Дата добавления: 2015-08-31; просмотров: 1211; Нарушение авторских прав


Рубцовск 2013г.

Трехфазные цепи являются частным случаем многофазных систем, под которыми понимают совокупность нескольких нагрузок и источников питания, имеющих одинаковую частоту и смещенных по фазе на некоторый угол друг относительно друга. Каждая пара источник-нагрузка может рассматриваться как отдельная цепь и называется фазойсистемы.

Если отдельные фазы системы не соединены между собой электрически (рис. 1 а)), то такую систему называют несвязанной. Несвязанная система не обладает никакими особыми свойствами, и если между фазами отсутствует и магнитная связь, то такая совокупность цепей вообще не может рассматриваться как многофазная.

Соединение фаз системы между собой (рис. 1б)) придает ей особые качества, благодаря которым многофазные системы ( в особенности трехфазные) получили исключительное распространение в области передачи и преобразования электрической энергии. Одним из очевидных преимуществ связанной системы (рис. 1) является сокращение с шести до четырех числа проводников, соединяющих источники с нагрузкой. При благоприятных обстоятельствах это число может быть уменьшено до трех. В дальнейшем мы отметим целый ряд других преимуществ, которым обладают связанные системы.

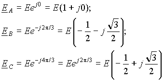
Любая многофазная система может быть симметричной и несимметричной. Симметрия системы определяется симметрией ЭДС, напряжений и токов. Под симметричной многофазной системой ЭДС, напряжений или токов понимают совокупность соответствующих величин, имеющих одинаковые амплитуды и смещенных по фазе на угол 2p /m по отношению друг к другу, где m - число фаз системы. Если для обозначения фаз трехфазной системы использовать первые буквы латинского алфавита, то симметричную систему ЭДС можно записать в виде

Û (1)

Аналогичные выражения можно написать и для токов и падений напряжения в симметричной трехфазной системе.



Основное свойствосимметричных многофазных систем заключается в том, что сумма мгновенных значений величин образующих систему в каждый момент времени равна нулю. Для изображений величин образующих систему это свойство означает равенство нулю суммы фазных векторов. В справедливости этого утверждения легко убедиться на примере трехфазной системы, если в области изображений сложить числа в скобках в правой части выражений (1).

Многофазная система симметрична только тогда, когда в ней симметричны ЭДС, токи и напряжения. Если принять равными нулю внутренние сопротивления источников питания или включить их значения в сопротивления нагрузки, то условие симметрии системы сводится к симметрии ЭДС и равенству комплексных сопротивлений нагрузки. Это условие для трехфазной системы записывается в виде

Za = Zb = Zc . (2)

В дальнейшем мы будем считать, что источники питания являются источниками ЭДС и использовать условия симметрии системы в виде выражений (1) и (2).

В многофазные системы объединяют источники ЭДС и нагрузки. Для обеспечения правильного соотношения сдвига фаз при соединения или связывании системы в общем случае необходимо определить выводы элементов, по отношению к которым выполняются условия (1). Они называются начало и конец фазы источника или нагрузки. Для источников многофазной системы принято за положительное направление действия ЭДС от начала к концу.

На электрических схемах, если это необходимо, начало и конец обозначают буквами латинского алфавита. На рис. 1 а) начала элементов соответствуют индексам XYZ, а концы - ABC. В дальнейшем мы будем использовать строчные буквы для нагрузки, а прописные для источников ЭДС.

Существуют два способа связывания элементов в многофазную систему - соединение звездой и соединение многоугольником. Звезда это такое соединение, в котором начала всех элементов объединены в один узел, называемый нейтральной точкой. Подключение к системе при этом осуществляется концами элементов (рис. 2 а)). Многоугольник это соединение, в котором все элементы объединены в замкнутый контур так, что у соседних элементов соединены между собой начало и конец. С системой многоугольник соединяется в точках соединения элементов. Частным случаем многоугольника является треугольник рис. 2 б).

Источники питания и нагрузки в многофазных системах в общем случае могут быть связаны разными способами.

При анализе многофазных систем вводится ряд понятий, необходимых для описания процессов. Проводники, соединяющие между собой источники и нагрузку, называются линейными проводами, а проводник соединяющий нейтральные точки источников и нагрузки - нейтральным проводом.

Электродвижущие силы источников многофазной системы (eA, EA, EA, eB, EB, EB, eC, EC, EC), напряжения на их выводах (uA, UA, UA, uB, UB, UB, uC, UC, UC) и протекающие по ним токи (iA, IA, IA, iB, IB, IB, iC, IC, IC) называются фазными. Напряжения между линейными проводами (UAB, UAB, UBC, Uac, UCA, UCA) называются линейными.

Связь линейных напряжений с фазными можно установить через разность потенциалов линейных проводов рис. 1 б) как uAB = uAN + uNB = uAN - uBN = uA - uB или в символической форме

UAB = UA - UB ; UBC = UB - UC ; UCA = UC - UA . (3)

Построим векторную диаграмму для симметричной трехфазной системы фазных и линейных напряжений (рис. 3). В теории трехфазных цепей принято направлять вещественную ось координатной системы вертикально вверх.

Каждый из векторов линейных напряжений представляет собой сумму одинаковых по модулю векторов фазных напряжений (Uф = UA = UB =UC), смещенных на угол 60° . Поэтому линейные напряжения также образуют симметричную систему и модули их векторов (Uл = UAB = UBC =UCA) можно определить как .

Выражения (3) справедливы как для симметричной системы, так и для несимметричной. Из них следует, что векторы линейных напряжений соединяют между собой концы фазных (вектор UCA рис. 3). Следовательно, при любых фазных напряжениях они образуют замкнутый треугольник и их сумма всегда равна нулю. Это легко подтвердить аналитически сложением выражений (3) - UAB + UBC + UCA = UA - UB + UB - UC + UC - UA = 0.

Тот факт, что геометрически векторы линейных напряжений соединяют концы векторов фазных, позволяет сделать заключение о том, что любой произвольной системе линейных напряжений соответствует бесчисленное множество фазных. Это подтверждается тем, что для создания фазной системы векторов при заданной линейной, достаточно произвольно указать на комплексной плоскости нейтральную точку и из нее провести фазные векторы в точки соединения многоугольника линейных векторов.

Из уравнений Кирхгофа для узлов a, b и c нагрузки соединенной треугольником (рис. 2 б)) можно представить комплексные линейные токи через фазные в виде

IA = Iab - Ica ; IB = Ibc - Iab ; IC = Ica - Ibc . (4)

В случае симметрии токов IA = IB = IC = Iл и Iab = Ibc = Ica = Iф, поэтому для них будет справедливо такое же соотношение, как для линейных и фазных напряжений в симметричной системе при соединении звездой, т.е . Кроме того, их сумма в каждый момент времени будет равна нулю, что непосредственно следует из суммирования выражений (4).

Перейдем теперь к рассмотрению конкретных соединений трехфазных цепей.

Пусть фазы источника и нагрузки соединены звездой с нейтральным проводом (рис. 4а)). При таком соединении нагрузка подключена к фазам источника и UA = Ua , UB = Ub и UC = Uc., а IA = Ia , IB = Ib и IC = Ic. Отсюда по закону Ома токи в фазах нагрузки равны

Ia = UA/Za ; Ib = UB/Zb и Ic = UC/Zc. (5)

Ток в нейтральном проводе можно определить по закону Кирхгофа для нейтральной точки нагрузки. Он равен

IN =Ia +Ib +Ic . (6)

Выражения (5) и (6) справедливы всегда, но в симметричной системе Za = Zb = Zc= Z, поэтомуIN =Ia +Ib +Ic= UA/Za+UB/Zb+UC/Zc = (UA+UB+UC)/Z = 0, т.к. по условию симметрии UA+UB+UC=0. Следовательно, в симметричной системе ток нейтрального провода равен нулю и сам провод может отсутствовать. В этом случае связанная трехфазная система будет передавать по трем проводам такую же мощность, как несвязанная по шести. На практике нейтральный провод в системах передачи электроэнергии сохраняют, т.к. его наличие позволяет получать у потребителя два значения напряжения - фазное и линейное (127/220 В, 220/380 В и т.д.). Однако сечение нейтрального провода обычно существенно меньше, чем у линейных проводов, т.к. по нему протекает только ток, создаваемый асимметрией системы.

При симметричной нагрузке токи во всех фазах одинаковы и смещены по отношению друг к другу на 120° . Их модули или действующие значения можно определить как I = Uф/Z.

Векторные диаграммы для симметричной и несимметричной нагрузки в системе с нейтральным проводом приведены на рис. 4 б) и в).

При отсутствии нейтрального провода сумма токов в фазах нагрузки равна нулю Ia+Ib+Ic =0. В случае симметричной нагрузки режим работы системы не отличается от режима в системе с нейтральным проводом.

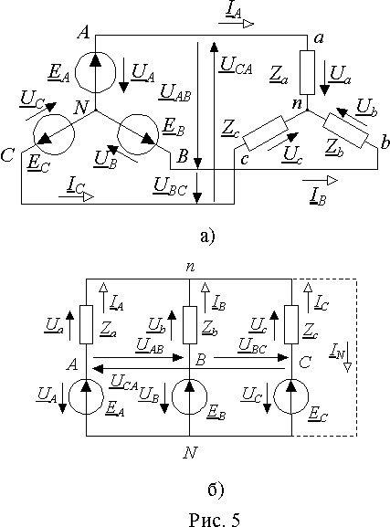
При несимметричной нагрузке между нейтральными точками источника и нагрузки возникает падение напряжения. Его можно определить по методу двух узлов, перестроив для наглядности схему рис. 5 а). В традиционном для теории электрических цепей начертании она будет иметь вид рис. 5 б). Отсюда

, (7)

где Ya=1/Za, Yb=1/Zb, Yc=1/Zc - комплексные проводимости фаз нагрузки.

Напряжение UnN представляет собой разность потенциалов между нейтральными точками источника и нагрузки. По схеме рис. 5 б) его можно представить также через разности фазных напряжений источника и нагрузки UnN = UA - Ua = UB - Ub = UC - Uc. Отсюда фазные напряжения нагрузки

Ua = UA - UnN ; Ub = UB - UnN ; Uc = UC - UnN . (8)

Токи в фазах нагрузки можно определить по закону Ома

Ia = Ua/Za ; Ib = Ub/Zb ; Ic = Uc/Zc. (9)

Векторные диаграммы для симметричной и несимметричной нагрузки приведены на рис. 6. Диаграммы симметричного режима (рис. 6 а)) ничем не отличаются от диаграмм в системе с нулевым проводом.

Диаграммы несимметричного режима (рис. 6 б)) иллюстрируют возможность существования множества систем фазных напряжений для любой системы линейных. Здесь системе линейных напряжений UAB UBC UCA соответствуют две системы фазных. Фазные напряжения источника UA UB UC и фазные напряжения нагрузки Ua Ub Uc..

В трехфазных цепях нагрузка и источник могут быть соединены по-разному. В частности нагрузка, соединенная треугольником, может быть подключена к сети, в которой источник питания соединен звездой (рис. 7 а)).

При этом фазы нагрузки оказываются подключенными на линейные напряжения

Uab= UAB ; Ubc =UBC ; Uca = UCA.

Токи в фазах можно найти по закону Ома

Iab = Uab/Zab ; Ibc = Ubc/Zbc ;

Ica = Uca/Zca,

а линейные токи из уравнений Кирхгофа для узлов треугольника нагрузки

IA = Iab - Ica ; IB = Ibc - Iab ; IC = Ica - Ibc . (10)

Векторы фазных токов нагрузки на диаграммах для большей наглядности принято строить относительно соответствующих фазных напряжений. На рис. 7 б) векторные диаграммы построены для случая симметричной нагрузки. Как и следовало ожидать, векторы фазных и линейных токов образуют симметричные трехфазные системы.

На рис. 7 в) построена векторная диаграмма для случая разных типов нагрузки в фазах. В фазе ab нагрузка чисто резистивная, а в фазах bc и ca индуктивная и емкостная. В соответствии с характером нагрузки, вектор Iab совпадает по направлению с вектором Uab; вектор Ibc отстает, а вектор Ica опережает на 90° соответствующие векторы напряжений. После построения векторов фазных токов можно по выражениям (10) построить векторы линейных токов IA, IB и IC.

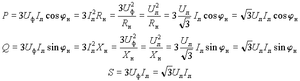
Трехфазная цепь является совокупностью трех однофазных цепей, поэтому ее мощность может быть определена как сумма мощностей отдельных фаз.

При соединении звездой активная мощность системы будет равна

P = Pa + Pb + Pc = UaIacosj a + UbIbcosj b + UcIccosj c = =Ia2Ra + Ib2Rb + Ic2Rc , (11)

а реактивная

Q = Qa + Qb + Qc = UaIasinj a + UbIbsinj b + UcIcsinj c = =Ia2Xa + Ib2Xb + Ic2Xc . (12)

Если нагрузка соединена треугольником, то активная и реактивная мощности будут равны

P = Pab + Pbc + Pca = UabIabcosj ab + UbcIbccosj bc + UcaIcacosj ca = =Iab2Rab + Ibc2Rbc + Ica2Rca , (13)
Q = Qab + Qbc + Qca = UabIabsinj ab + UbcIbcsinj bc + UcaIcasinj ca = =Iab2Xab + Ibc2Xbc + Ica2Xca . (14)

Полную мощность можно определить из треугольника мощностей как

. (15)

Следует обратить внимание на то, что полная мощность трехфазной цепи не является суммой полных мощностей фаз.

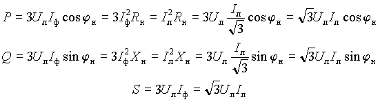
При симметричной нагрузке мощности всех фаз одинаковы, поэтому полная мощность и ее составляющие для соединения звездой будут равны

(16)

При соединении нагрузки треугольником

(17)

Из выражений (16) и (17) следует, что полная мощность трехфазной сети и ее составляющие при симметричной нагрузке могут быть определены по линейным токам и напряжениям независимо от схемы соединения.



<== предыдущая лекция | следующая лекция ==>
Постановка задачи | Мощность цепи переменного тока.


Карта сайта Карта сайта укр


Уроки php mysql Программирование

Онлайн система счисления Калькулятор онлайн обычный Инженерный калькулятор онлайн Замена русских букв на английские для вебмастеров Замена русских букв на английские

Аппаратное и программное обеспечение Графика и компьютерная сфера Интегрированная геоинформационная система Интернет Компьютер Комплектующие компьютера Лекции Методы и средства измерений неэлектрических величин Обслуживание компьютерных и периферийных устройств Операционные системы Параллельное программирование Проектирование электронных средств Периферийные устройства Полезные ресурсы для программистов Программы для программистов Статьи для программистов Cтруктура и организация данных


 


Не нашли то, что искали? Google вам в помощь!

 
 

© life-prog.ru При использовании материалов прямая ссылка на сайт обязательна.

Генерация страницы за: 1.135 сек.