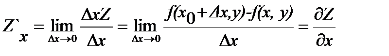
Частной производной по x от ф-ии z=f(x,y) наз. предел отношения частного приращения Dxz по х к приращению Dх при стремлении Dх к нулю.
рассмотрим на примере ф-ции 2х переменных z=f(x,y),
Dz=f(x0+Dx, y0+Dy)-f(x0,y0) - полное приращение.
Частное приращение по х (по у):
DxZ=f(x0+Dx, y)-f(x0, y0) DyZ=f(y0+Dy, x)-f(x0, y0)
Частная производная ф-ии по х:

Частной произв. ф-ии нескольких переменных наз. произв., взятая по одному из аргументов в предположении, что все другие аргументы постоянны.
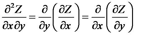
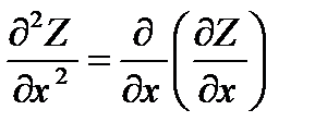
Частное производной 2го порядка от ф-ции Z явл. частная производная от 1й производной:
Z``XX=(Z`x)`x ; Z``yy=(Z`y)`y Z``Xy=(Z`x)`y=(Z`y)`x

Производные, в которых дифференцирование производится по разным переменным, называются смешанными.
Теорема: о смешанных производных.
Две смешанные частные производные одного порядка, отличающиеся только порядком диф-я, равны.
¶2z/¶x¶y=¶2z/¶y¶x
3.
4.