Определение и свойства.

S – область – криволинейная трапеция.

Интегральная сумма: 

Определенным интегралом называется предел интегральной суммы.
Т. “О существовании определенного интеграла”.
Если f(x) – непрерывна на отрезке (a,b), то определе нный интеграл существует и не зависит от порядка разбиения и выбора точек.
Геометрический смысл определенного интеграла – площадь криволинейной трапеции.
Свойства определенного интеграла:
1. 
-
-
-
-
-
- аддитивность. -
на

Основные теоремы интегрального исчисления.
Т.1. “об оценке”:
Пусть y =f(x) интегрируема на [a ,b]
Тогда

Доказательство:







Т.2. “о среднем”
Пусть y =f(x) интегрируема на [a ,b] Тогда
- где
f(c) – среднее значение f(x) на [a ,b].

Доказательство:
По Т.1: 

Т.к. f(x) – непрерывна на [a ,b], то она принимает все промежуточные значения от m до M. Следовательно она принимает значение А. Т.е. существует такая 
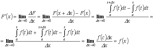
Т.3.“о производной определенного интеграла по переменному верхнему пределу”
Пусть y =f(x) - интегрируема на [a , b]
. Тогда 
Доказательство:


Т.4. “формула Ньютона-Лейбница”
, где F(x) – первообразная для f(x).
Доказательство:
- первообразная для f(x) по Т.3. Т.к. первообразные отличаются на const, то
Пусть х=а. F(a)+c=0. c=-F(x). Пусть x=b 
Методы вычисления определенного интеграла.
Замена переменных под знаком определенного интеграла.


Пример:

Интегрирование по частям в определенном интеграле.

Пример:
