русс | укр

Языки программирования

ПаскальСиАссемблерJavaMatlabPhpHtmlJavaScriptCSSC#DelphiТурбо Пролог

Компьютерные сетиСистемное программное обеспечениеИнформационные технологииПрограммирование

Все о программировании


Linux Unix Алгоритмические языки Аналоговые и гибридные вычислительные устройства Архитектура микроконтроллеров Введение в разработку распределенных информационных систем Введение в численные методы Дискретная математика Информационное обслуживание пользователей Информация и моделирование в управлении производством Компьютерная графика Математическое и компьютерное моделирование Моделирование Нейрокомпьютеры Проектирование программ диагностики компьютерных систем и сетей Проектирование системных программ Системы счисления Теория статистики Теория оптимизации Уроки AutoCAD 3D Уроки базы данных Access Уроки Orcad Цифровые автоматы Шпаргалки по компьютеру Шпаргалки по программированию Экспертные системы Элементы теории информации

Сбалансированные деревья


Дата добавления: 2015-01-16; просмотров: 617; Нарушение авторских прав


Сбалансированные деревья представляют собой компромисс между оптимальными и случайными деревьями. Авторы идеи сбаланси­ро­ван­ного дерева - Адельсон-Вельский и Ландис (1962 г.), поэтому такие деревья называют также AVL-деревьями. AVL-деревья используют дополнительно 2 бита на узел и позволяют за время ~log2N, выполнять операции вставки, поиска и удаления.

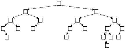
Определим высоту дерева как максимальную длину пути от корня до листа. Будем называть дерево сбалансированным, если в каждом узле высота

 
 

правого и левого поддеревьев различаются не более чем на ±1. На рис. 43

Рис.43 Пример сбалансированного дерева

изображен пример сбалансированного дерева. Оценим максимальную высоту сбалансированного дерева. Обозначим минимальное число узлов в AVL-дереве высоты h через N(h). В таком дереве с минимальным числом узлов одна из ветвей, исходящих из корня, должна содержать N(h-1) узлов, а другая - N(h-2) узлов. Таким образом,

(6)

Очевидно, что N(0)=1, N(1)=2. Далее по формуле (6) находим , что N(2)=4. Для h=3 и h=4 можно непосредственно проверить, а затем по индукции доказать, что при h³3 справедливо неравенство

(7)

где

-положительный корень уравнения , которое является характеристическим для разностного уравнения (6). Действительно, допустим, что неравенство (7) выполняется для всех k<N. Тогда, подставив в правую часть равенства (6) нижние границы N(h-1), N(h-2) в соответствии с неравенством (7), получим:

(8)

Подставим в левую часть неравенства (7) нижнюю грань для N(h) из неравенства (8). В результате будет получено более сильное неравенство:

(9)

Очевидно, что если (9) справедливо, то тем более справедливо (7). Преобразуем неравенство (9) к виду:

Трехчлен в скобках тождественно равен нулю, так как a - его корень. Остается –1<0. Таким образом, неравенство (7) доказано. Следовательно, если сбалансированное дерево содержит ветвь длины h>3, то число его вершин n удовлетворяет неравенству , откуда



(10)

Величина h+1 – это число сравнений ключей при поиске записи, расположенной в конце пути длиной h, исходящем из корня. Окончательный вывод: число сравнений ключей при поиске в сбалан­сированном дереве из n узлов не превышает .



<== предыдущая лекция | следующая лекция ==>
Оптимальные деревья | Поддержание балансировки


Карта сайта Карта сайта укр


Уроки php mysql Программирование

Онлайн система счисления Калькулятор онлайн обычный Инженерный калькулятор онлайн Замена русских букв на английские для вебмастеров Замена русских букв на английские

Аппаратное и программное обеспечение Графика и компьютерная сфера Интегрированная геоинформационная система Интернет Компьютер Комплектующие компьютера Лекции Методы и средства измерений неэлектрических величин Обслуживание компьютерных и периферийных устройств Операционные системы Параллельное программирование Проектирование электронных средств Периферийные устройства Полезные ресурсы для программистов Программы для программистов Статьи для программистов Cтруктура и организация данных


 


Не нашли то, что искали? Google вам в помощь!

 
 

© life-prog.ru При использовании материалов прямая ссылка на сайт обязательна.

Генерация страницы за: 0.229 сек.