Упражнение.1.1.Укажите среди данных матриц равные матрицы

2) Пусть даны матрицы

Напишите, какие произведения из данных пар
и
существуют.
Упражнение 1.2. Укажите размерность матриц и определите, чему равны элементы 

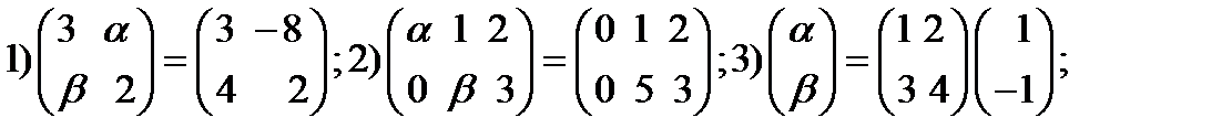
Упражнение 1.3Определить параметры
из условий

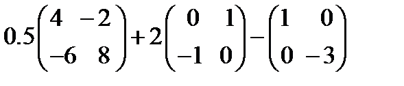
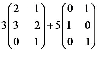
Упражнение 1.4. Вычислить линейную комбинацию матриц
1)
; 2)
.
3)
; 4)
.
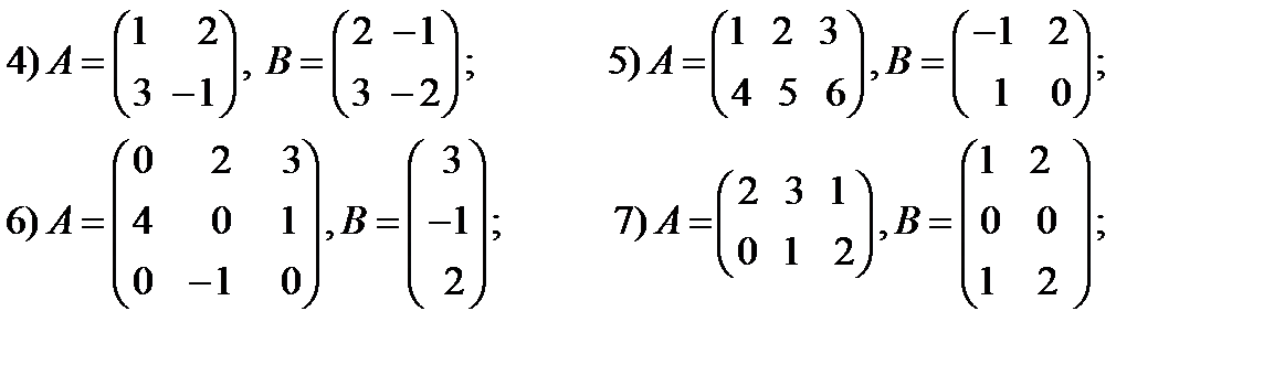
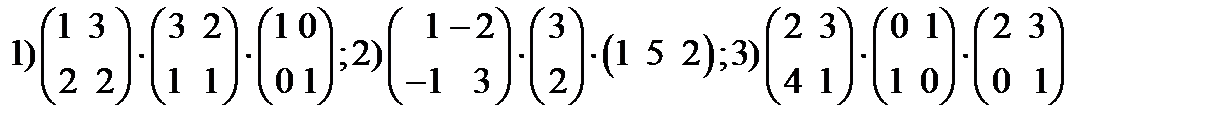
Упражнение 1.5.Вычислить произведения матриц 


Упражнение 1.6. Вычислить:
, где 
Упражнение 1.7.Найти миноры всех элементов матрицы 

Упражнение 1.8.Вычислить данные определители

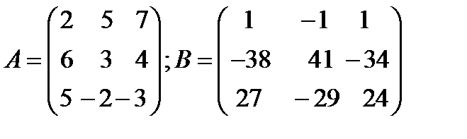
Упражнение 1.9. Проверить являются ли матрицы
взаимно обратными

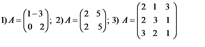
Упражнение 1.10.Вычислить матрицу
обратную к данной матрице 

и сделать проверку полученного результата.
Упражнение 1.11.Используя элементарные преобразования , привести матрицу А к ступенчатому виду
; 
Упражнение 1.12.Используя решение квадратного уравнения
, найдите матрицу
второго порядка, которая является решением матричного уравнения
.
Упражнение 1.13.Найдите матрицу третьего порядка из упражнения 1.11.
Упражнение 1.14.Перемножить матрицы

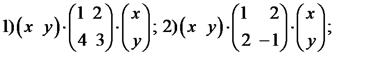
Упражнение 1.15. Перемножить матрицы

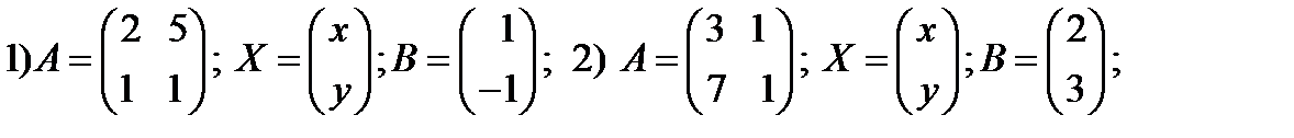
Упражнение 1.16. Решить матричное уравнение
,где

Указание. Используйте обратную матрицу
.