Производственная функция фирмы, производящей определенный товар Q показывает максимально возможный объем выпуска данного товара при наиболее эффективном использовании различных комбинаций факторов производства:
.
В теории производства используется двухфакторная производственная функция вида
, где Q – объем выпускаемой продукции, K – количество используемого капитала, L – количество труда.
Совокупный (общий) продукт – это максимальный объем производства, который возможно получить при данном объеме используемых ресурсов.
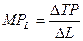
Предельный продукт переменного фактора производства – это изменение совокупного продукта при увеличении количества используемого фактора на единицу. Предельный продукт труда: 