русс | укр

Языки программирования

ПаскальСиАссемблерJavaMatlabPhpHtmlJavaScriptCSSC#DelphiТурбо Пролог

Компьютерные сетиСистемное программное обеспечениеИнформационные технологииПрограммирование

Все о программировании


Linux Unix Алгоритмические языки Аналоговые и гибридные вычислительные устройства Архитектура микроконтроллеров Введение в разработку распределенных информационных систем Введение в численные методы Дискретная математика Информационное обслуживание пользователей Информация и моделирование в управлении производством Компьютерная графика Математическое и компьютерное моделирование Моделирование Нейрокомпьютеры Проектирование программ диагностики компьютерных систем и сетей Проектирование системных программ Системы счисления Теория статистики Теория оптимизации Уроки AutoCAD 3D Уроки базы данных Access Уроки Orcad Цифровые автоматы Шпаргалки по компьютеру Шпаргалки по программированию Экспертные системы Элементы теории информации

Простейшие тригонометрические уравнения.


Дата добавления: 2015-08-14; просмотров: 3041; Нарушение авторских прав


 



 

Методы решения тригонометрических уравнений. Решение тригонометрического уравнения состоит из двух этапов: преобразование уравнения для получения его простейшего вида ( см. выше ) и решение полученного простейшего тригонометрического уравнения.Существует семь основных методов решения тригонометрических уравнений.

 

1. Алгебраический метод. Этот метод нам хорошо известен из алгебры

( метод замены переменной и подстановки ).

2. Разложение на множители. Этот метод рассмотрим на примерах.

 

П р и м е р 1. Решить уравнение: sin x + cos x = 1 .

 

Р е ш е н и е . Перенесём все члены уравнения влево:

 

sin x + cos x – 1 = 0 ,

 

преобразуем и разложим на множители выражение в

левой части уравнения:

П р и м е р 2. Решить уравнение: cos 2 x + sin x · cos x = 1.

 

Р е ш е н и е . cos 2 x + sin x · cos x – sin 2 x – cos 2 x = 0 ,

 

sin x · cos x – sin 2 x = 0 ,

 

sin x · ( cos x – sin x ) = 0 ,

П р и м е р 3. Решить уравнение: cos 2x – cos 8x + cos 6x = 1.

Р е ш е н и е . cos 2x + cos 6x = 1 + cos 8x ,

 

2 cos 4x cos 2x = 2 cos ² 4x ,

 

cos 4x · ( cos 2x – cos 4x ) = 0 ,

 

cos 4x · 2 sin 3x · sin x = 0 ,

1). cos 4x = 0 , 2). sin 3x = 0 , 3). sin x = 0 ,

3. Приведение к однородному уравнению. Уравнение называется однородным относительно sin и cos, если все его члены одной и тойже степени относительно sin и cos одного и того же угла. Чтобы решить однородное уравнение, надо:   а) перенести все его члены в левую часть; б) вынести все общие множители за скобки; в) приравнять все множители и скобки нулю; г) скобки, приравненные нулю, дают однородное уравнение меньшей степени, которое следует разделить на cos ( или sin ) в старшей степени; д) решить полученное алгебраическое уравнение относительно tan .   П р и м е р . Решить уравнение: 3sin 2 x + 4 sin x · cos x + 5 cos 2 x = 2.   Р е ш е н и е . 3sin 2 x + 4 sin x · cos x + 5 cos 2 x = 2sin 2 x + 2cos 2 x ,   sin 2 x + 4 sin x · cos x + 3 cos 2 x = 0 ,   tan 2 x + 4 tan x + 3 = 0 , отсюда y 2 + 4y +3 = 0 ,   корни этого уравнения: y1 = -1, y2 = -3, отсюда 1) tan x = –1, 2) tan x = –3,

 



4. Переход к половинному углу. Рассмотрим этот метод на примере:

 

П р и м е р . Решить уравнение: 3 sin x – 5 cos x = 7.

Р е ш е н и е . 6 sin ( x / 2 ) · cos ( x / 2 ) – 5 cos ² ( x / 2 ) + 5 sin ² ( x / 2 ) =

= 7 sin ² ( x / 2 ) + 7 cos ² ( x / 2 ) ,

2 sin ² ( x / 2 ) – 6 sin ( x / 2 ) · cos ( x / 2 ) + 12 cos ² ( x / 2 ) = 0 ,

tan ² ( x / 2 ) – 3 tan ( x / 2 ) + 6 = 0 ,

. . . . . . . . . .

5. Введение вспомогательного угла. Рассмотрим уравнение вида:

 

a sin x + b cos x = c ,

 

где a, b, c – коэффициенты; x – неизвестное.

Теперь коэффициенты уравнения обладают свойствами синуса и косинуса, а именно: модуль ( абсолютное значение ) каждого из них не больше 1, а сумма их квадратов равна 1. Тогда можно обозначить их соответственно как cos и sin ( здесь - так называемыйвспомогательный угол ), и наше уравнение принимает вид:

6. Преобразование произведения в сумму. Здесь используются соответствующие формулы.

 

П р и м е р . Решить уравнение: 2 sin 2x · sin 6x = cos 4x.

 

Р е ш е н и е . Преобразуем левую часть в сумму:

 

cos 4x – cos 8x = cos 4x ,

 

cos 8x = 0 ,

 

8x = p / 2 + pk ,

 

x = p / 16 + pk / 8 .

 

7. Универсальная подстановка. Рассмотрим этот метод на примере.

П р и м е р . Решить уравнение: 3 sin x – 4 cos x = 3 .

 

Таким образом, решение даёт только первый случай.

Уравнения, содержащие косинус - cos x.

Уравнение: РЕШЕНИЯ:

Общий вид решения уравнения cos x = a, где | a | £ 1, определяется формулой:

x = ± arccos(a) + 2pk, k Î Z (целые числа),

при | a | > 1 уравнение cos x = a не имеет решений среди вещественных чисел.

 

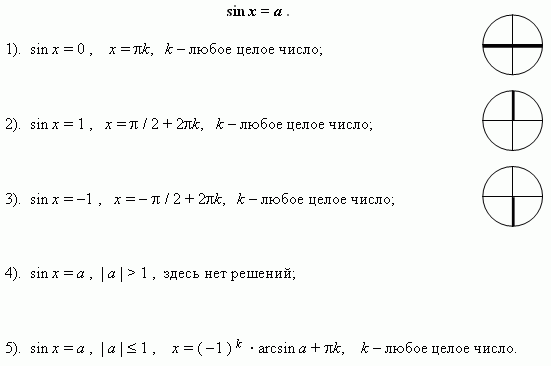
Уравнения, содержащие синус - sin x.

Уравнение: РЕШЕНИЯ:

Общий вид решения уравнения sin x = a, где | a | £ 1, определяется формулой:

x = (- 1)k · arcsin(a) + pk, k Î Z (целые числа),

при | a | > 1 уравнение sin x = a не имеет решений среди вещественных чисел.

 

Уравнения, содержащие тангенс и котангенс - tg x и сtg x

Уравнение: Уравнение: РЕШЕНИЯ:
***
 

 



<== предыдущая лекция | следующая лекция ==>
Исследование степенного ряда на сходимость | Лабораторная работа


Карта сайта Карта сайта укр


Уроки php mysql Программирование

Онлайн система счисления Калькулятор онлайн обычный Инженерный калькулятор онлайн Замена русских букв на английские для вебмастеров Замена русских букв на английские

Аппаратное и программное обеспечение Графика и компьютерная сфера Интегрированная геоинформационная система Интернет Компьютер Комплектующие компьютера Лекции Методы и средства измерений неэлектрических величин Обслуживание компьютерных и периферийных устройств Операционные системы Параллельное программирование Проектирование электронных средств Периферийные устройства Полезные ресурсы для программистов Программы для программистов Статьи для программистов Cтруктура и организация данных


 


Не нашли то, что искали? Google вам в помощь!

 
 

© life-prog.ru При использовании материалов прямая ссылка на сайт обязательна.

Генерация страницы за: 2.499 сек.