русс | укр

Языки программирования

ПаскальСиАссемблерJavaMatlabPhpHtmlJavaScriptCSSC#DelphiТурбо Пролог

Компьютерные сетиСистемное программное обеспечениеИнформационные технологииПрограммирование

Все о программировании


Linux Unix Алгоритмические языки Аналоговые и гибридные вычислительные устройства Архитектура микроконтроллеров Введение в разработку распределенных информационных систем Введение в численные методы Дискретная математика Информационное обслуживание пользователей Информация и моделирование в управлении производством Компьютерная графика Математическое и компьютерное моделирование Моделирование Нейрокомпьютеры Проектирование программ диагностики компьютерных систем и сетей Проектирование системных программ Системы счисления Теория статистики Теория оптимизации Уроки AutoCAD 3D Уроки базы данных Access Уроки Orcad Цифровые автоматы Шпаргалки по компьютеру Шпаргалки по программированию Экспертные системы Элементы теории информации

Моментные ряды динамики


Дата добавления: 2015-08-14; просмотров: 973; Нарушение авторских прав


Уровни моментных рядов динамики характеризуют состояние изучаемого явления на определенные моменты времени. Каждый последующий уровень включает в себя полностью или частично предыдущий показатель. Так, например, число работников на 1 апреля 1999 г. полностью или частично включает число работников на 1 марта.

Если сложить эти показатели, то получим повторный счет тех работников, которые работали в течение всего месяца. Полученная сумма экономического содержания не имеет, это расчетный показатель.

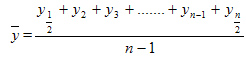
В моментных рядах динамики с равными интервалами времени средний уровень ряда исчисляется по формуле средней хронологической:

§ y -уровни моментного ряда;

§ n -число моментов (уровней ряда);

§ n — 1 — число периодов времени (лет, кварталов, месяцев).

Рассмотрим методику такого расчета по следующим данным о списочной численности работников предприятия за 1 квартал.

  Число работников
на 1 января
на 1 февраля
на 1 марта
на 1 апреля

Необходимо вычислить средний уровень ряда динамики, в данном примере — среднюю списочную численность работников предприятия:

Расчет выполнен по формуле средней хронологической. Средняя списочная численность работников предприятия за 1 квартал составила 155 человек. В знаменателе — 3 месяца в квартале, а в числителе (465) — это расчетное число, экономического содержания не имеет. В подавляющем числе экономических расчетов месяцы, независимо от числа календарных дней, считаются равными.

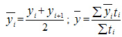
В моментных рядах динамики с неравными интервалами времени средний уровень ряда исчисляется по формуле средней арифметической взвешенной. В качестве весов средней принимается продолжительность времени ( t- дни, месяцы ). Выполним расчет по этой формуле.

Списочная численность работников предприятия за октябрь такова: на 1 октября — 200 человек, 7 октября принято 15 человек, 12 октября уволен 1 человек, 21 октября принято 10 человек и до конца месяца приема и увольнения работников не было. Эту информацию можно представить в следующем виде:



Число работников Число дней (период времени)
6 (с 1 по 6 включительно)
5 (с 7 по 11 включительно)
9 (с 12 по 20 включительно)
11 (с 21 по 31 включительно)

При определении среднего уровня ряда надо учесть продолжительность периодов между датами, т. е. применять формулу средней арифметической взвешенной:

В данной формуле числитель ( ) имеет экономическое содержание. В приведенном примере числитель (6665 человеко-дней) — это календарный фонд времени работников предприятия за октябрь. В знаменателе (31 день) — календарное число дней в месяце.

В тех случаях, когда имеем моментный ряд динамики с неравными интервалами времени, а конкретные даты изменения показателя неизвестны исследователю, то сначала надо вычислить среднюю величину ( ) для каждого интервала времени по формуле средней арифметической простой, а затем вычислить средний уровень для всего ряда динамики, взвесив исчисленные средние величины продолжительностью соответствующего интервала времени . Формулы имеют следующий вид:

Рассмотренные выше ряды динамики состоят из абсолютных показателей, получаемых в результате статистических наблюдений. Построенные первоначально ряды динамики абсолютных показателей могут быть преобразованы в ряды производные: ряды средних величин и ряды относительных величин. Ряды относительных величин могут быть цепные (в % к предыдущему периоду) и базисные (в % к начальному периоду, принятому за базу сравнения — 100%). Расчет среднего уровня в производных рядах динамики выполняется по другим формулам.



<== предыдущая лекция | следующая лекция ==>
Интервальные ряды динамики | Ряд средних величин


Карта сайта Карта сайта укр


Уроки php mysql Программирование

Онлайн система счисления Калькулятор онлайн обычный Инженерный калькулятор онлайн Замена русских букв на английские для вебмастеров Замена русских букв на английские

Аппаратное и программное обеспечение Графика и компьютерная сфера Интегрированная геоинформационная система Интернет Компьютер Комплектующие компьютера Лекции Методы и средства измерений неэлектрических величин Обслуживание компьютерных и периферийных устройств Операционные системы Параллельное программирование Проектирование электронных средств Периферийные устройства Полезные ресурсы для программистов Программы для программистов Статьи для программистов Cтруктура и организация данных


 


Не нашли то, что искали? Google вам в помощь!

 
 

© life-prog.ru При использовании материалов прямая ссылка на сайт обязательна.

Генерация страницы за: 0.346 сек.