Составляющими дополнительных потерь Pдп являются потери: потери от прямой утечки Pпр, потери от обратной утечки Pоб, утечки включения Pвк, утечки выключения Pвык и утечки управления Pу.
Pдп= Pпр + Pоб + Pвк + Pвык + Pу
Потери в выпрямителях переменного тока частотой 50 Гц обусловлены, в основном, статическими потерями в диодах при протекании прямого и обратного токов.
Коммутационные потери незначительны ввиду малой частоты переменного тока.
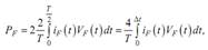
Мощность потерь, выделяемую в мостовом выпрямителе при протекании прямого тока iF, можно рассчитать, интегрируя за один полупериод мгновенную мощность, выделяемую в одном диоде и удваивая результат, поскольку за полупериод одинаковый ток протекает через два диода.

где Vf - прямое падение напряжения на диоде.
За ноль отсчета в первом интеграле принят момент времени, когда входное напряжение проходит через ноль, а во втором интеграле – момент времени, когда ток через диод скачкообразно нарастает до максимальной величины IFm.
Таким образом, для расчета мощности потерь в диодном мосте с активно-емкостной нагрузкой по паспортным данным диодов (прямое падение напряжения при среднем токе нагрузки VF и ток утечки на максимальном обратном напряжении Irm) и основным параметрам выпрямителя (средний ток нагрузки и максимальное выпрямительное напряжение). Уменьшить мощность потерь в мостовом выпрямителе можно за счет уменьшения двух параметров: или VF или Irm, предварительно оценив их значимость в общих потерях.