русс | укр

Языки программирования

ПаскальСиАссемблерJavaMatlabPhpHtmlJavaScriptCSSC#DelphiТурбо Пролог

Компьютерные сетиСистемное программное обеспечениеИнформационные технологииПрограммирование

Все о программировании


Linux Unix Алгоритмические языки Аналоговые и гибридные вычислительные устройства Архитектура микроконтроллеров Введение в разработку распределенных информационных систем Введение в численные методы Дискретная математика Информационное обслуживание пользователей Информация и моделирование в управлении производством Компьютерная графика Математическое и компьютерное моделирование Моделирование Нейрокомпьютеры Проектирование программ диагностики компьютерных систем и сетей Проектирование системных программ Системы счисления Теория статистики Теория оптимизации Уроки AutoCAD 3D Уроки базы данных Access Уроки Orcad Цифровые автоматы Шпаргалки по компьютеру Шпаргалки по программированию Экспертные системы Элементы теории информации

Определение основных потерь в вентилях на низких частотах.


Дата добавления: 2015-08-14; просмотров: 706; Нарушение авторских прав


Составляющими дополнительных потерь Pдп являются потери: потери от прямой утечки Pпр, потери от обратной утечки Pоб, утечки включения Pвк, утечки выключения Pвык и утечки управления Pу.

Pдп= Pпр + Pоб + Pвк + Pвык + Pу

Потери в выпрямителях переменного тока частотой 50 Гц обусловлены, в основном, статическими потерями в диодах при протекании прямого и обратного токов.

Коммутационные потери незначительны ввиду малой частоты переменного тока.

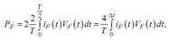
Мощность потерь, выделяемую в мостовом выпрямителе при протекании прямого тока iF, можно рассчитать, интегрируя за один полупериод мгновенную мощность, выделяемую в одном диоде и удваивая результат, поскольку за полупериод одинаковый ток протекает через два диода.

где Vf - прямое падение напряжения на диоде.

За ноль отсчета в первом интеграле принят момент времени, когда входное напряжение проходит через ноль, а во втором интеграле – момент времени, когда ток через диод скачкообразно нарастает до максимальной величины IFm.

Таким образом, для расчета мощности потерь в диодном мосте с активно-емкостной нагрузкой по паспортным данным диодов (прямое падение напряжения при среднем токе нагрузки VF и ток утечки на максимальном обратном напряжении Irm) и основным параметрам выпрямителя (средний ток нагрузки и максимальное выпрямительное напряжение). Уменьшить мощность потерь в мостовом выпрямителе можно за счет уменьшения двух параметров: или VF или Irm, предварительно оценив их значимость в общих потерях.



<== предыдущая лекция | следующая лекция ==>
Простые и комбинированные преобразователи и их структурные схемы. | Роль ЭВМ, микропроцессорной техники в развитии СЭУ.


Карта сайта Карта сайта укр


Уроки php mysql Программирование

Онлайн система счисления Калькулятор онлайн обычный Инженерный калькулятор онлайн Замена русских букв на английские для вебмастеров Замена русских букв на английские

Аппаратное и программное обеспечение Графика и компьютерная сфера Интегрированная геоинформационная система Интернет Компьютер Комплектующие компьютера Лекции Методы и средства измерений неэлектрических величин Обслуживание компьютерных и периферийных устройств Операционные системы Параллельное программирование Проектирование электронных средств Периферийные устройства Полезные ресурсы для программистов Программы для программистов Статьи для программистов Cтруктура и организация данных


 


Не нашли то, что искали? Google вам в помощь!

 
 

© life-prog.ru При использовании материалов прямая ссылка на сайт обязательна.

Генерация страницы за: 0.148 сек.