русс | укр

Языки программирования

ПаскальСиАссемблерJavaMatlabPhpHtmlJavaScriptCSSC#DelphiТурбо Пролог

Компьютерные сетиСистемное программное обеспечениеИнформационные технологииПрограммирование

Все о программировании


Linux Unix Алгоритмические языки Аналоговые и гибридные вычислительные устройства Архитектура микроконтроллеров Введение в разработку распределенных информационных систем Введение в численные методы Дискретная математика Информационное обслуживание пользователей Информация и моделирование в управлении производством Компьютерная графика Математическое и компьютерное моделирование Моделирование Нейрокомпьютеры Проектирование программ диагностики компьютерных систем и сетей Проектирование системных программ Системы счисления Теория статистики Теория оптимизации Уроки AutoCAD 3D Уроки базы данных Access Уроки Orcad Цифровые автоматы Шпаргалки по компьютеру Шпаргалки по программированию Экспертные системы Элементы теории информации

Степенные ряды


Дата добавления: 2015-08-14; просмотров: 3028; Нарушение авторских прав


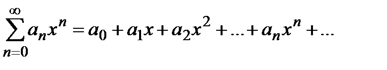
Степенным рядом называется ряд вида:

.

Областью сходимости степенного ряда называется множество всех значений , при которых данный ряд сходится.

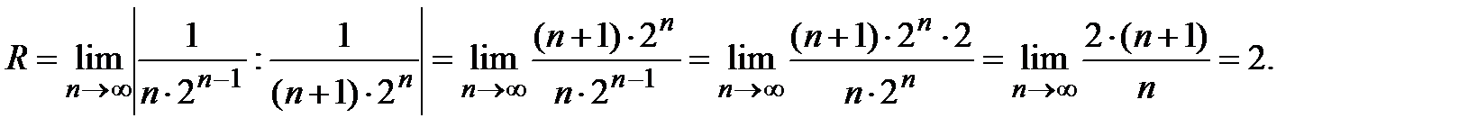
Число R называется радиусом сходимости степенного ряда, если при ряд сходится и притом абсолютно, а при ряд расходится. Радиус сходимости найдем, используя признак Даламбера:

т.е. если степенной ряд сходится при любых , удовлетворяющих данному условию и расходится при . Отсюда следует, что если существует предел ,то радиус сходимости ряда равен этому пределу и степенной ряд сходится при , т.е. в промежутке , который называется промежутком (интервалом) сходимости.

Если , то степенной ряд сходится в единственной точке . На концах промежутка ряд может сходиться (абсолютно или условно), но может и расходиться.

Сходимость степенного ряда при и исследуется с помощью какого-либо из признаков сходимости.

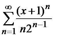
Пример 2. Найти область сходимости ряда. Решение. Найдём радиус сходимости ряда:

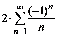
Следовательно, ряд сходится при , т.е. при . При имеем ряд , который сходится по признаку Лейбница.

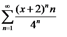
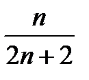
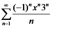
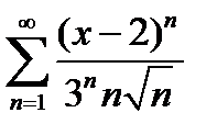
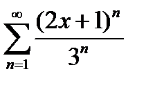
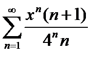
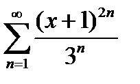
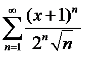
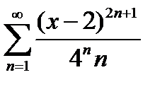
При имеем расходящийся ряд: . Ответ: областью сходимости исходного ряда является промежуток Задание 7. Найти область сходимости степенного ряда:

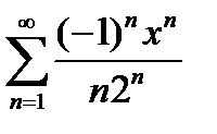
1) 6)
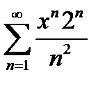
2) 7)
3) 8)
4) 9)
5) 10)

Ответы:

Задание 1. 1) , 2) , 3) , 4), 5) , 6) , 7) ,

8) , 9) , 10) .

Задание 2. 1) да, 2) да, 3) да, 4) нет, 5) нет, 6) да, 7) да, 8) нет, 9) нет, 10) да.

Задание 3. 1)сходится , 2) расходится, 3) расходится, 4) расходится, 5) сходится, 6) сходится, 7) расходится, 8) расходится, 9) сходится, 10) сходится.



Задание 4. 1) расходится, 2) сходится, 3) сходится, 4) сходится, 5) сходится, 6) сходится, 7) сходится, 8) расходится, 9) сходится, 10) расходится.

Задание 5. 1) расходится, 2) сходится, 3) сходится, 4) расходится, 5)

сходится, 6) расходится, 7) сходится, 8) расходится, 9) расходится, 10)

расходится.

Задание 6. 1) абсолютно сходится, 2) условно сходится, 3) условно сходится, 4) условно сходится, 5) абсолютно сходится, 6) абсолютно сходится, 7) абсолютно сходится, 8) абсолютно сходится, 9) условно сходится, 10) условно сходится.

Задание 7. 1) (-2;2], 2) , 3) , 4) (-4;4), 5) [-3;1), 6) [-1;5], 7) (-6;2), 8) (-2;1), 9) , 10) (0;4).



<== предыдущая лекция | следующая лекция ==>
Понятие функционального ряда | Двумерные массивы


Карта сайта Карта сайта укр


Уроки php mysql Программирование

Онлайн система счисления Калькулятор онлайн обычный Инженерный калькулятор онлайн Замена русских букв на английские для вебмастеров Замена русских букв на английские

Аппаратное и программное обеспечение Графика и компьютерная сфера Интегрированная геоинформационная система Интернет Компьютер Комплектующие компьютера Лекции Методы и средства измерений неэлектрических величин Обслуживание компьютерных и периферийных устройств Операционные системы Параллельное программирование Проектирование электронных средств Периферийные устройства Полезные ресурсы для программистов Программы для программистов Статьи для программистов Cтруктура и организация данных


 


Не нашли то, что искали? Google вам в помощь!

 
 

© life-prog.ru При использовании материалов прямая ссылка на сайт обязательна.

Генерация страницы за: 0.119 сек.