русс | укр

Языки программирования

ПаскальСиАссемблерJavaMatlabPhpHtmlJavaScriptCSSC#DelphiТурбо Пролог

Компьютерные сетиСистемное программное обеспечениеИнформационные технологииПрограммирование

Все о программировании


Linux Unix Алгоритмические языки Аналоговые и гибридные вычислительные устройства Архитектура микроконтроллеров Введение в разработку распределенных информационных систем Введение в численные методы Дискретная математика Информационное обслуживание пользователей Информация и моделирование в управлении производством Компьютерная графика Математическое и компьютерное моделирование Моделирование Нейрокомпьютеры Проектирование программ диагностики компьютерных систем и сетей Проектирование системных программ Системы счисления Теория статистики Теория оптимизации Уроки AutoCAD 3D Уроки базы данных Access Уроки Orcad Цифровые автоматы Шпаргалки по компьютеру Шпаргалки по программированию Экспертные системы Элементы теории информации

Векторная величина


Дата добавления: 2015-08-14; просмотров: 1187; Нарушение авторских прав


Скалярные и векторные величины

Скалярная величина

Скалярная величина (скаляр) – это физическая величина, которая имеет только одну характеристику – численное значение.

Скалярная величина может быть положительной или отрицательной.

Примеры скалярных величин: масса (m), температура (t0), путь (S), работа (А), время (t) и т.д.

Математические действия со скалярными величинами – это алгебраические действия.

Векторная величина

Векторная величина (вектор) – это физическая

величина, которая имеет две характеристики – модуль и направление в пространстве.

Примеры векторных величин: скорость ( ), сила ( ), ускорение ( ) и т.д.

Геометрически вектор изображается как направленный отрезок прямой линии, длина которого в масштабе – модуль вектора.

| | = 6 м/с | | = 8 м/с

Векторная величина обозначается символом соответствующей физической величины со стрелкой над ней: , , . Модуль вектора обозначается символом без стрелки: | | или v.

Действия над векторами подчиняются векторной алгебре. Рассмотрим элементы этой алгебры на примере действий над векторами.

Сравнение векторов

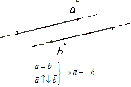
Рассмотрим два вектора и (рис. 44).

Рис. 44

Равные векторы. Два вектора равны, если они имеют:

– равные модули,

– одинаковые направления.

Противоположные векторы. Два вектора противоположны, если они имеют:

– равные модули,

– противоположные направления.

Когда не выполняется одно из условий или оба условия, векторы не равны друг другу.



<== предыдущая лекция | следующая лекция ==>
Матрицы. Упражнения. | 


Карта сайта Карта сайта укр


Уроки php mysql Программирование

Онлайн система счисления Калькулятор онлайн обычный Инженерный калькулятор онлайн Замена русских букв на английские для вебмастеров Замена русских букв на английские

Аппаратное и программное обеспечение Графика и компьютерная сфера Интегрированная геоинформационная система Интернет Компьютер Комплектующие компьютера Лекции Методы и средства измерений неэлектрических величин Обслуживание компьютерных и периферийных устройств Операционные системы Параллельное программирование Проектирование электронных средств Периферийные устройства Полезные ресурсы для программистов Программы для программистов Статьи для программистов Cтруктура и организация данных


 


Не нашли то, что искали? Google вам в помощь!

 
 

© life-prog.ru При использовании материалов прямая ссылка на сайт обязательна.

Генерация страницы за: 0.792 сек.