русс | укр

Языки программирования

ПаскальСиАссемблерJavaMatlabPhpHtmlJavaScriptCSSC#DelphiТурбо Пролог

Компьютерные сетиСистемное программное обеспечениеИнформационные технологииПрограммирование

Все о программировании


Linux Unix Алгоритмические языки Аналоговые и гибридные вычислительные устройства Архитектура микроконтроллеров Введение в разработку распределенных информационных систем Введение в численные методы Дискретная математика Информационное обслуживание пользователей Информация и моделирование в управлении производством Компьютерная графика Математическое и компьютерное моделирование Моделирование Нейрокомпьютеры Проектирование программ диагностики компьютерных систем и сетей Проектирование системных программ Системы счисления Теория статистики Теория оптимизации Уроки AutoCAD 3D Уроки базы данных Access Уроки Orcad Цифровые автоматы Шпаргалки по компьютеру Шпаргалки по программированию Экспертные системы Элементы теории информации

Объекты проектирования


Дата добавления: 2015-08-06; просмотров: 2584; Нарушение авторских прав


 

Объекты проектирования это будущие средства достижения цели: конструкции, процессы, системы и т.д. В процессе проектирования идет уточнение объекта проектирования от качественного описания до проекта. При этом имеет место единство цели, объекта и процесса проектирования.

Необходимая стадия проектирования – формализация описания и моделирования объекта проектирования.

Различают три вида формального описания объекта: функциональное, морфологическое, информационное.

Функциональное описание дает характеристику назначения объекта проектирования через его функциональные характеристики. Например для самолета это: подъемная сила, тяговые усилия, управление и т.д.

После описания функций определяют структуру объекта для реализации этих функций. В результате объект проектирования становится сложной системой, состоящей из подсистем, агрегатов, узлов, элементов и т.д.

Описание устройств объектов, их структур, геометрий называют морфологическим описанием.

Задача функционального и морфологического описания объектов проектирования связана с использованием и переработкой значительных потоков информации. Под информацией об объекте понимают сведения, сообщения, документы (схемы, чертежи, описания и т.д.), сигналы. Это информационное описание объекта.

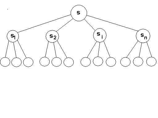
Объект проектирования – сложная система. Он может быть описан в виде иерархического дерева (иерархические уровни).

 

 

1-й уровень

 

 

2-й уровень

 

 

n-й уровень

 

 

На 1-ом уровне сложный объект S рассматривается как система S из n элементов (взаимосвязанных и взаимодействующих). Каждая из этих подсистем Sj на 2-ом уровне тоже рассматривается как сложная система, состоящая из mj элементов.

Как правило, выделение элементов происходит по функциональному признаку и подобное разделение продолжается до получения на n-ом уровне элементов, которые не делятся. Это базовые элементы.



Такой блочно-иерархический подход позволяет распределить работы по проектированию сложных объектов между подразделениями.

Пример:

- базовые элементы: интегральные микросхемы, резисторы, конденсаторы, транзисторы и т.д.;

- функциональные узлы: усилители, вторичные источники питания, сумматоры и т.д.;

- функциональные схемы: процессор, ОЗУ, передатчик и т.д.

- электронные системы: система управления, ЭВМ и т.д.

 

 



<== предыдущая лекция | следующая лекция ==>
Цели проектирования | Процессы проектирования


Карта сайта Карта сайта укр


Уроки php mysql Программирование

Онлайн система счисления Калькулятор онлайн обычный Инженерный калькулятор онлайн Замена русских букв на английские для вебмастеров Замена русских букв на английские

Аппаратное и программное обеспечение Графика и компьютерная сфера Интегрированная геоинформационная система Интернет Компьютер Комплектующие компьютера Лекции Методы и средства измерений неэлектрических величин Обслуживание компьютерных и периферийных устройств Операционные системы Параллельное программирование Проектирование электронных средств Периферийные устройства Полезные ресурсы для программистов Программы для программистов Статьи для программистов Cтруктура и организация данных


 


Не нашли то, что искали? Google вам в помощь!

 
 

© life-prog.ru При использовании материалов прямая ссылка на сайт обязательна.

Генерация страницы за: 0.292 сек.