Покажем, что в точках сопряжения для первой и второй производных аппроксимирующего выражения выполняются условия непрерывности, что требуется по определению B-сплайна. Обозначим участок аппроксимирующего B-сплайна, соответствующий участку
исходной кривой, через
. Тогда для этого участка и координаты х в точке сопряжения
имеем
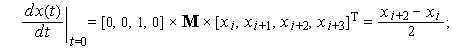
и


Для участка
в той же точке
имеем
и


т.е. равенство производных в точке сопряжения на соседних участках подтверждает непрерывность касательного вектора и кривизны. Естественно, что значение
координаты
точки
аппроксимирующей кривой на участке 

равно значению
, подсчитанному для той же точки на участке
, но значения координат узловых точек
и
аппроксимирующей и аппроксимируемой кривых не совпадают.
Таблица 2
| -1/6
| 1/2
| -1/2
| 1/6
|
| 1/2
| -1
| 1/2
|
|
| -1/2
|
| 1/2
|
|
| 1/6
| 2/3
| 1/6
|
|
Аналогично можно получить выражения для форм Безье и B-сплайнов применительно к поверхностям с учетом того, что вместо (1) используются кубические зависимости от двух переменных.