русс | укр

Языки программирования

ПаскальСиАссемблерJavaMatlabPhpHtmlJavaScriptCSSC#DelphiТурбо Пролог

Компьютерные сетиСистемное программное обеспечениеИнформационные технологииПрограммирование

Все о программировании


Linux Unix Алгоритмические языки Аналоговые и гибридные вычислительные устройства Архитектура микроконтроллеров Введение в разработку распределенных информационных систем Введение в численные методы Дискретная математика Информационное обслуживание пользователей Информация и моделирование в управлении производством Компьютерная графика Математическое и компьютерное моделирование Моделирование Нейрокомпьютеры Проектирование программ диагностики компьютерных систем и сетей Проектирование системных программ Системы счисления Теория статистики Теория оптимизации Уроки AutoCAD 3D Уроки базы данных Access Уроки Orcad Цифровые автоматы Шпаргалки по компьютеру Шпаргалки по программированию Экспертные системы Элементы теории информации

Методология системного подхода к проблеме проектирования сложных систем


Дата добавления: 2015-08-06; просмотров: 1182; Нарушение авторских прав


Системный подход позволяет найти оптимальное решение задачи проектирования за счет всестороннего, целостного рассмотрения как проектируемого изделия, так и самого процесса проектирования, и способен привести к подлинно творческим новаторским решениям, включая крупные изобретения и научные открытия.

Главным средством автоматизации проектирования являются ЭВМ и управляемые ими другие технические средства, которые создают необходимую основу для полной реализации потенциальных возможностей системного подхода.

Сущность системного подхода состоит в том, что объект проектирования или управления рассматривается как система, т. е. как единство взаимосвязанных элементов, которые образуют единое целое и действуют в интересах реализации единой цели. Методическим средством реализации системного подхода к исследованию, проектированию или управлению сложным процессом служит системный анализ, под которым понимается совокупность приемов и методов исследования объектов (процессов) посредством представления их в виде систем и их последующего анализа. Всякая система общается с внешней средой, имеет входы X и выходы P из нее (рис. 2.1).

Входами могут быть: состав комплектующих элементов с их параметрами; параметры пленки при производстве транзисторов и т. д.; выходами могут быть показатели качества готовой продукции (надежность РЭС, процент выхода годных приборов и т. п.).

Система обычно подвержена возмущениям Z; для их компенсации, для того чтобы система работала в нужном режиме, используют управляющие воздействия U (электрические непрерывные и дискретные сигналы, различные механические воздействия и т. д.).


Рис. 2.1. Простейшая структура объекта проектирования

Следовательно, системными объектами являются параметры изучаемой системы: вход, процесс, выход, цель, обратная связь и ограничения. Под действием системных объектов понимается качество параметров объектов. Свойства позволяют количественно описывать объекты, выражая их в присущих им единицах, обладающих определенной размерностью.



Системный анализ предполагает системный подход и к изучению связей между элементами, между подсистемами и системой.

Процесс функционирования сложной системы происходит на многих уровнях. Система расчленяется на подсистемы, которые представляют собой компоненты, необходимые для существования и действия системы.

Первый этап методологии системного анализа — определение целей. Для проектировщиков важно четко представлять себе, что требуется от будущей системы управления, какие результаты желательны. Следовательно, необходимо иметь определенный набор требований к системе, т. е. четко сформулированную цель проектирования. Формулирование целей создает возможность выбора связанных с ними критериев.Критерий может быть задан в виде аналитического выражения (для простых" систем ) либо в виде функционала для сложных систем. В сложных системах с высокой степенью неопределенности цели носят качественный характер и получить аналитическое выражение не представляется возможным.

Для проектирования и управления всегда желательно иметь единственный критерий оптимальности, что облегчает принятие решений и позволяет решить задачу оптимизации математически.

С точки зрения системного подхода к автоматизации проектирования, процесс проектирования представляет собой многослойную иерархическуюпроцедуру с оптимизацией решений в каждом слое.

Объект проектирования можно расчленить на составляющие элементы или подсистемы, которые информационно связаны друг с другом и с окружающей объект средой. Совокупность связей образует структуру системы. Система имееталгоритм функционирования, направленный на достижение определенной цели.

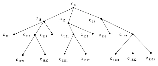
Глобальную цель проектирования или управления обычно не удается связать непосредственно со средствами ее достижения. Поэтому ее обычно разбивают (декомпозиция) на более частные локальные цели, позволяющие выявить средства их достижения. Такой метод системного анализа называют методом построения дерева целей (рис. 2.2), которое является удобным средством для представления существующих иерархий. Корень дерева отождествляется с системой, а уровни дерева — с подсистемами и элементами. Аналогично строится дерево целей, где корень дерева соответствует генеральной цели, а остальные вершины — подцелям, причем по мере опускания по уровням дерева цели становятся более частными. Разбиение генеральной цели на подцели продолжается до тех пор, пока не появится возможность связать цели нижних уровней дерева со средствами, обеспечивающими выполнение этих целей. Рис. 2.2. Дерево целей Иерархия систем проектирования и управления, определение необходимого числа уровней, установление между уровнями правильных взаимосвязей, организация информационных потоков, создание контуров принятия решений — все это тесно связанные вопросы рационального выбора схем проектирования и управления. Рис. 2.3. Допустимые структуры сложных систем Излишняя централизация удлиняет цепь передачи информации к звеньям, выполняющим решения, в результате чего возможны искажения. Кроме того, вследствие удлинения цепи передачи информации "с места в центр" и передачи решений "из центра на места" удлиняется время между отправкой информации и получением решения. Наилучшая иерархическая структура из допустимых структур, приведенных на рис. 2.3, показана в подпункте "д". Среди структур, имеющих четыре уровня управления (рис. 2.3б, в, г), лучшая структура показана на рис. 2.3б, т. к. она имеет минимальное число подсистем высших уровней. Следовательно, любая сложная система может быть реализована на основе различных структур. В связи с этим возникает уже на первых порах проектирования системы проблема выбора (синтеза) при заданных ресурсах оптимальной структуры, которая максимизирует критерий качества (в общем случае векторный) функционирования системы. Под проблемой синтеза структуры понимается:
  • синтез структуры управляемой системы, т. е. оптимальное разбиение множества управляемых объектов на отдельные подмножества, обладающие заданными характеристиками связей:
  • выбор числа уровней и подсистем (иерархия системы);
  • выбор принципов организации управления, т. е. установление между уровнями правильных взаимоотношений (это связано с согласованием целей подсистем разных уровней и с оптимальным стимулированием их работы, распределением прав и ответственностей, созданием контуров принятия решений);
  • оптимальное распределение выполняемых функций между людьми и средствами вычислительной техники;
  • выбор организационной иерархии.
Под проблемой анализа структуры понимается определение основных характеристик системы при некоторой выбранной (фиксированной) структуре. Контрольные вопросы и упражнения
  1. Дайте определение понятия "проектирование".
  2. Что является предметом изучения в теории систем?
  3. Назовите признаки, присущие сложной системе.
  4. Приведите примеры иерархической структуры технических объектов, их внутренних, внешних и выходных параметров.
  5. Приведите примеры условий работоспособности.
  6. Почему проектирование обычно имеет итерационный характер?
  7. Назовите основные стадии проектирования технических систем.
  8. Дайте характеристику этапов жизненного цикла промышленной продукции.
  9. Назовите основные типы промышленных АС и виды их обеспечения.
  10. Какие причины привели к появлению и развитию CALS-технологий?


<== предыдущая лекция | следующая лекция ==>
Лекция2: Основы автоматизированного проектирования конструкций и технологических процессов производства электронных схем (ЭС) | Стадии разработки технических систем


Карта сайта Карта сайта укр


Уроки php mysql Программирование

Онлайн система счисления Калькулятор онлайн обычный Инженерный калькулятор онлайн Замена русских букв на английские для вебмастеров Замена русских букв на английские

Аппаратное и программное обеспечение Графика и компьютерная сфера Интегрированная геоинформационная система Интернет Компьютер Комплектующие компьютера Лекции Методы и средства измерений неэлектрических величин Обслуживание компьютерных и периферийных устройств Операционные системы Параллельное программирование Проектирование электронных средств Периферийные устройства Полезные ресурсы для программистов Программы для программистов Статьи для программистов Cтруктура и организация данных


 


Не нашли то, что искали? Google вам в помощь!

 
 

© life-prog.ru При использовании материалов прямая ссылка на сайт обязательна.

Генерация страницы за: 0.073 сек.