Роль электролита – уменьшить расклинивающее давление. Это возможно 2 путями:
1. Нейтрализационная коагуляция
2. Концентрационная коагуляция
Нейтрализационная коагуляция
Происходит при действии электролита, который химически взаимодействует с ПОИ
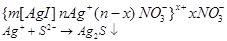
ПРИМЕР: к золю AgI, стабилизированному AgNO3, добавили ионы S2-
Концентрация ПОИ (Ag+) ↓, межфазный потенциал (φ) ↓, число противоионов (NO3¯) ↓, ионные атмосферы вокруг ядер становятся тоньше, ↓ расклинивающее давление, частицы слипаются (коагулируют)
Концентрационная коагуляция
Нет химического взаимодействия
ПРИМЕР: к золю AgI, стабилизированному AgNO3, добавили ионы NO3¯

Добавляемые NO3¯ вталкивают диффузный слой в адсорбционный. Диффузный слой сжимается. Может наступить такое состояние, при котором диффузный слой исчезнет совсем и гранула станет электронейтральной (изоэлектрическое состояние). В таком состоянии расклинивающее давление → min. Частицы коагулируют и седиментируют