русс | укр

Языки программирования

ПаскальСиАссемблерJavaMatlabPhpHtmlJavaScriptCSSC#DelphiТурбо Пролог

Компьютерные сетиСистемное программное обеспечениеИнформационные технологииПрограммирование

Все о программировании


Linux Unix Алгоритмические языки Аналоговые и гибридные вычислительные устройства Архитектура микроконтроллеров Введение в разработку распределенных информационных систем Введение в численные методы Дискретная математика Информационное обслуживание пользователей Информация и моделирование в управлении производством Компьютерная графика Математическое и компьютерное моделирование Моделирование Нейрокомпьютеры Проектирование программ диагностики компьютерных систем и сетей Проектирование системных программ Системы счисления Теория статистики Теория оптимизации Уроки AutoCAD 3D Уроки базы данных Access Уроки Orcad Цифровые автоматы Шпаргалки по компьютеру Шпаргалки по программированию Экспертные системы Элементы теории информации

Задания для самостоятельной работы


Дата добавления: 2015-07-23; просмотров: 2037; Нарушение авторских прав


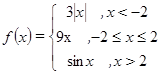
Пример. Дано действительное x. Для функции f, график которой представлен на рисунке, вычислить f(x).

 

Решение. Математическая модель: функция вычисляется по следующей формуле:

Составим схему алгоритма, детализировав все блоки:

 

Дальнейшая детализация не требуется. Переводим алгоритм на язык Паскаль.

Program example1; var x, f:Real; begin Write('Введите x: '); Readln(x); if x<-1 then f:= -x-1 else if (x>=-1) and (x<0) then f:= x-1 else if (x>=0) and (x<1) then f:= -x+1 else f:= x+1; Writeln('F= ',f:6:2); Readln; end.

Варианты заданий

Задание 1. Используя оператор if, вычислить заданное выражение для данных типа Integer:

а) b)

c) d)

Задание 2. Найти алгоритм решения задачи и реализовать его с помощью оператора (операторов) if-then-else:

a) Составить программу, реализующую эпизод сказки: машина спрашивает, куда пойдет герой, и в зависимости от ответа (налево – (-1), прямо – 0, направо – 1), печатает, что произойдет с героем.

b) Морской бой. Машина задумывает два числа от 0 до 9. Игрок пытается их угадать, вводя свои два числа. Если они совпали (в любом сочетании), то игрок выиграл.

c) В Атлантическом океане терпит бедствие пассажирский теплоход «Посудина». Все пассажиры будут спасены, если на помощь успеют два судна. Судно продержится на плаву t часов. Скорость судов-спасателей 40 узлов. Составить программу, определяющую спасутся ли пассажиры. Известны расстояния от трех судов-спасателей до тонущего судна.

d) Через старый мост движется поток автомашин. Одновременно на мосту могут находиться 3 машины. Если на мост въедут 3 легковых или 2 легковых и грузовик – мост выдержит. Если 2 грузовика и легковая или 3 грузовика – рухнет.

Задание 3.Используя оператор выбора, составить программы решения следующих задач.



a) По номеру дня недели вывести на печать рабочий это день или выходной, считая выходными субботу и воскресенье.

b) По номеру месяца указать, к какому времени года он относится.

c) По номеру месяца вывести на печать количество дней в нем.

d) Единицы массы пронумерованы следующим образом: 1 — килограмм, 2 — миллиграмм, 3 — грамм, 4 — тонна. Дан номер единицы массы и масса тела M в этих единицах (M - вещественное число). Вывести массу данного тела в килограммах.



<== предыдущая лекция | следующая лекция ==>
Общая форма записи | Организация циклов. Операторы повторения


Карта сайта Карта сайта укр


Уроки php mysql Программирование

Онлайн система счисления Калькулятор онлайн обычный Инженерный калькулятор онлайн Замена русских букв на английские для вебмастеров Замена русских букв на английские

Аппаратное и программное обеспечение Графика и компьютерная сфера Интегрированная геоинформационная система Интернет Компьютер Комплектующие компьютера Лекции Методы и средства измерений неэлектрических величин Обслуживание компьютерных и периферийных устройств Операционные системы Параллельное программирование Проектирование электронных средств Периферийные устройства Полезные ресурсы для программистов Программы для программистов Статьи для программистов Cтруктура и организация данных


 


Не нашли то, что искали? Google вам в помощь!

 
 

© life-prog.ru При использовании материалов прямая ссылка на сайт обязательна.

Генерация страницы за: 0.097 сек.