Написать программу, решающую задачу в соответствие с вариантом, и вывести результат графически на экран.
1) Найти кратчайшие пути из точки А1 в точку А9.

2) Найти кратчайшие пути из точки S1 в точку S8

3) Найти кратчайшие пути из точки T1 в точку T8

4) Найти кратчайшие пути из точки D1 в точку D8

5) Найти пути наименьшей стоимости из точки X1 в точку X8

6) Найти пути наименьшей стоимости из точки F1 в точку F8

7) Найти пути наименьшей стоимости из точки G1 в точку G8

8) Найти пути наименьшей стоимости из точки H1 в точку H8

9) Найти пути наименьшей стоимости из точки I1 в точку I8

10) Найти пути наименьшей стоимости из точки V1 в точку V9

11) Найти кратчайшие пути из точки K1 в точку K8

12) Найти кратчайшие пути из точки L1 в точку L9

13) Найти кратчайшие пути из точки M1 в точку M9

14) Найти кратчайшие пути из точки N1 в точку N8

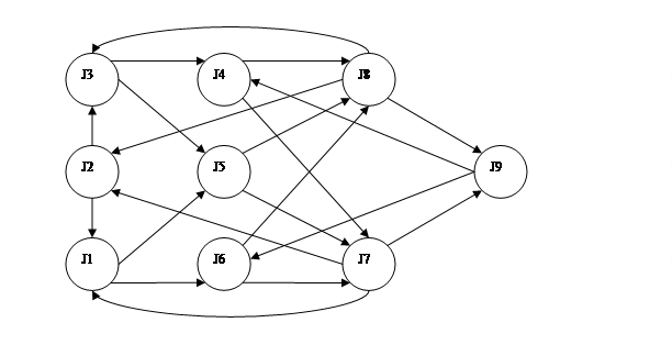
15) Найти кратчайшие пути из точки O1 в точку O9

16) Найти кратчайшие пути из точки P1 в точку P8

17) определить, есть ли эйлеров цикл, и в случае положительного исхода показать его

18) определить, есть ли эйлеров цикл, и в случае положительного исхода показать его

19) определить, есть ли эйлеров путь, и в случае положительного исхода показать его

20) определить, есть ли эйлерова цепь, и в случае положительного исхода показать ее

21) определить, есть ли эйлерова цепь, и в случае положительного исхода показать ее
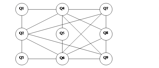
22) определить, есть ли гамильтонов цикл, и в случае положительного исхода показать его

23) определить, есть ли гамильтонов цикл, и в случае положительного исхода показать его

24) определить, есть ли эйлеров цикл, и в случае положительного исхода показать его

25) определить, есть ли эйлеров цикл, и в случае положительного исхода показать его
