русс | укр

Языки программирования

ПаскальСиАссемблерJavaMatlabPhpHtmlJavaScriptCSSC#DelphiТурбо Пролог

Компьютерные сетиСистемное программное обеспечениеИнформационные технологииПрограммирование

Все о программировании


Linux Unix Алгоритмические языки Аналоговые и гибридные вычислительные устройства Архитектура микроконтроллеров Введение в разработку распределенных информационных систем Введение в численные методы Дискретная математика Информационное обслуживание пользователей Информация и моделирование в управлении производством Компьютерная графика Математическое и компьютерное моделирование Моделирование Нейрокомпьютеры Проектирование программ диагностики компьютерных систем и сетей Проектирование системных программ Системы счисления Теория статистики Теория оптимизации Уроки AutoCAD 3D Уроки базы данных Access Уроки Orcad Цифровые автоматы Шпаргалки по компьютеру Шпаргалки по программированию Экспертные системы Элементы теории информации

Турнирная сортировка


Дата добавления: 2015-07-23; просмотров: 7561; Нарушение авторских прав


Бинарные деревья находят важное применение в качестве деревьев принятия решения, в которых каждый узел представляет ситуацию, имеющую два возможных исхода. В частности, для представления спортивного турнира, проводимого по схеме с выбываниями. Каждый нелистовой узел соответствует победителю встречи между двумя игроками. Листовые узлы дают стартовый состав участников и распределение их по парам. Например, победителем теннисного турнира является Дэвид, выигравший финальную встречу с Доном. Оба спортсмена вышли в финал, выиграв предварительные матчи. Дон победил Алана, а Дэвид Мэнни. Все игры турнира и их результаты могут быть записаны в виде дерева.

В турнире с выбыванием победитель определяется очень скоро. Например, для четырех игроков понадобится всего три матча, а для 24 = 16 участников – 24 - 1 = 15 встреч.

Турнир выявляет победителя, но со вторым лучшим игроком пока не все ясно. Поскольку Дон проиграл финал победителю турнира, он может и не оказаться вторым лучшим игроком. Нам нужно дать шанс Мэнни, так как тот играл матч первого круга с, быть может, единственным игроком, способным его победить. Чтобы выявить второго лучшего игрока, нужно исключить Дэвида и реорганизовать турнирное дерево, устроив матч между Доном и Мэнни.

Как только определится победитель этого матча, мы сможем правильно распределить места.

Выиграл Мэнни: Места Дэвид Мэнни Дон Алан

Выиграл Дон: Места Дэвид Дон Мэнни Алан

 

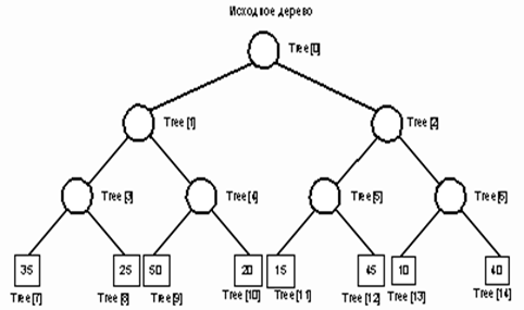
Турнирное дерево может использоваться для сортировки списка из N элементов. Рассмотрим эффективный алгоритм, использующий дерево, представленное в виде массива. Пусть имеется последовательно представленное дерево, содержащее N элементов листовых узлов в нижнем ряду. Эти элементы запоминаются на уровне k, где 2k > N. Предположим, что список сортируется по возрастанию. Мы сравниваем каждую пару элементов и запоминаем меньший из них (победителя) в родительском узле. Процесс продолжается до тех пор, пока наименьший элемент (победитель турнира) не окажется в корневом узле. Например, приведенное ниже дерево задает следующее начальное состояние массива из N = 8 целых чисел. Элементы запоминаются на уровне 3, где 23 = 8.



A[8] = {35, 25, 50, 20, 15, 45, 10, 40}

 

 

 

Со второго уровня начинаются "игры" — в родительские узлы помещаются наименьшие значения в парах. Например, "игру" между элементами Tree[7] и Tree[8] выигрывает меньший из них, и значение 25 записывается в Tree[3]. Подобные сравнения проводятся также на втором и первом уровнях. В результате последнего сравнения наименьший элемент попадает в корень дерева на уровне 0.

 

 

 

Как только наименьший элемент оказывается в корневом узле, он удаляется со своего старого места и копируется в массив. В первый раз в A[0] записывается 10, а затем дерево обновляется для поиска следующего наименьшего элемента. В турнирной модели некоторые матчи должны быть сыграны повторно. Поскольку число 10 изначально было в Tree[13], проигравший в первом круге Tree[14] = 40 должен снова участвовать в турнире. Tree[14] копируется в свой родительский узел Tree[6], а затем снова проводятся матчи в индексе 6 (15 побеждает 40) и в индексе 2 (15 побеждает 20). В результате 15 попадает в корень и становится вторым наименьшим элементом списка. Корень копируется в A[1], и процесс продолжается.

Процесс продолжается до тех пор, пока все листья не будут удалены. В нашем примере последний (наибольший) узел играет серию матчей, в которых побеждает всех по умолчанию. После копирования числа 50 в A[7] мы получаем отсортированный список.

 

 

Вычислительная эффективность. Эффективность турнирной сортировки составляет O(n log2n). В массиве, содержащем n = 2k элементов, для выявления наименьшего элемента требуется n-1 сравнений. Это становится ясным, когда мы замечаем, что половина участников выбывает после каждого круга по мере продвижения к корню. Общее число матчей равно

2k-1 + 2k-2 + ... + 21 + 1 = n-1

Дерево обновляется, и оставшиеся n-1 элементов обрабатываются посредством k-1 сравнений вдоль пути, проходящего через родительские узлы. Общее число сравнений равно

(n-1) + (k-1)*(n-1) = (n-1) + (n-1)*(log2n-1) = (n-1) log2n

Хотя количество сравнений в турнирной сортировке составляет O(n log2n), использование пустот значительно менее эффективно. Дереву требуется 2*n-1 узлов, чтобы вместить k-1 кругов соревнования.

 

Алгоритм TournamentSort.

Для реализации турнирной сортировки определим класс DataNode и создадим представленное массивом дерево из объектов этого типа. Членами класса являются элемент данных, его место в нижнем ряду дерева и флажок, показывающий, участвует ли еще этот элемент в турнире. Для сравнения узлов используется перегруженный оператор "<=".

 

template <class T>

class DataNode

{

public:

// элемент данных, индекс в массиве, логический флажок

T data;

int index;

int active;

 

friend int operator <= (const DataNode<T> &x,

const DataNode<T> &y);

};

 

Сортировка реализуется с помощью функций TournamentSort и UpdateTree.

// сформировать последовательное дерево, скопировать туда элементы массива;

// отсортировать элементы и скопировать их обратно в массив

 

template <class T>

void TournamentSort (T a[], int n)

{

DataNode<T> *tree; // корень дерева

DataNode<T> item;

 

// минимальная степень двойки, большая или равная n

int bottomRowSize;

 

// число узлов в полном дереве, нижний ряд которого

// имеет bottomRowSize узлов

int treesize;

 

// начальный индекс нижнего ряда узлов

int loadindex;

int i, j;

 

//определить требуемый размер памяти

//для нижнего ряда узлов

bottomRowSize = PowerOfTwo(n);

 

// вычислить размер дерева и динамически создать его узлы

treesize = 2 * bottomRowSize - 1;

tree = new DataNode<T>[treesize];

 

loadindex = treesize - bottomRowSize

 

// скопировать массив в дерево объектов типа DataNode

j = 0;

for (i=loadindex; i<treesize; i++)

{

item.index = i;

if (j < n)

{

item.active = 1;

item.data = a[j++];

}

else

item.active = 0;

tree[i] = item;

}

 

// выполнить начальные сравнения

//для определения наименьшего элемента

i = loadindex;

while (i > 0)

{

j = i;

while (j < 2*i); // обработать пары соревнующихся

{

// проведение матча.

//Сравнить tree[j] с его соперником tree[j+1]

//Скопировать победителя в родительский узел

if (!tree[j+1].active || tree[j] < tree[j+1])

tree[(j-1)/2] = tree[j];

else

tree[(j-1)/2] = tree[j+1];

j += 2; // перейти к следующей паре

}

 

// Обработать оставшиеся n-1 элементов.

// Скопировать победителя из корня в массив.

// Сделать победителя неактивным.

// Обновить дерево, разрешив сопернику победителя

//снова войти в турнир

for (i=0; i<n-1; i++)

{

a[i] = tree[0].data;

tree[tree[0].index].active = 0;

UpdateTree(tree, tree[0].index);

}

 

// Скопировать значение в массив

a[n-1] = tree[0].data;

}

 

 

В функцию UpdateTree передается индекс i, указывающий исходное положение наименьшего текущего элемента в нижнем ряду дерева. Это — удаляемый узел (становится неактивным). Значению, которое "проиграло" предварительный раунд последнему победителю (наименьшему значению), разрешается снова войти в турнир.

 

// параметр i есть начальный индекс текущего наименьшего элемента

// в списке (победителя турнира)

template <class T>

void UpdateTree(DataNode<T> *tree, int i)

{

int j;

 

//Определить соперника победителя. позволить ему продолжить

// турнир, копируя его в родительский узел.

if (i % 2 == 0)

tree [(i-1)/2] = tree[i-1]; // соперник левый узел

else

tree [(i-1)/2] = tree[i+1]; // соперник правый узел

 

// Переиграть те матчи, в которых принимал участие

// только что исключенный из турнира игрок

i = (i-1)/2;

while (i > 0)

{

// Соперником является правый или левый узел?

if (i % 2 == 0)

j = i-1;

else

j = i+1;

 

// Проверить, является ли соперник активным

if (!tree[i].active || !tree[j].active)

if (tree[i].active)

tree[(i-1)/2] = tree[i];

else

tree[(i-1)/2] = tree[j];

 

// Устроить соревнование.

// Победителя скопировать в родительский узел

else

if (tree[i] < tree[j])

tree[(i-1)/2] = tree[i];

else

tree[(i-1)/2] = tree[j];

 

// Перейти к следующему кругу соревнования

//(родительский уровень)

i = (i-1)/2;

}

// Турнир с новым соперником закончен.

// очередное наименьшее значение находится в корневом узле

}

 

 



<== предыдущая лекция | следующая лекция ==>
Более сложные нелинейные структуры | Пирамиды


Карта сайта Карта сайта укр


Уроки php mysql Программирование

Онлайн система счисления Калькулятор онлайн обычный Инженерный калькулятор онлайн Замена русских букв на английские для вебмастеров Замена русских букв на английские

Аппаратное и программное обеспечение Графика и компьютерная сфера Интегрированная геоинформационная система Интернет Компьютер Комплектующие компьютера Лекции Методы и средства измерений неэлектрических величин Обслуживание компьютерных и периферийных устройств Операционные системы Параллельное программирование Проектирование электронных средств Периферийные устройства Полезные ресурсы для программистов Программы для программистов Статьи для программистов Cтруктура и организация данных


 


Не нашли то, что искали? Google вам в помощь!

 
 

© life-prog.ru При использовании материалов прямая ссылка на сайт обязательна.

Генерация страницы за: 0.698 сек.