русс | укр

Языки программирования

ПаскальСиАссемблерJavaMatlabPhpHtmlJavaScriptCSSC#DelphiТурбо Пролог

Компьютерные сетиСистемное программное обеспечениеИнформационные технологииПрограммирование

Все о программировании


Linux Unix Алгоритмические языки Аналоговые и гибридные вычислительные устройства Архитектура микроконтроллеров Введение в разработку распределенных информационных систем Введение в численные методы Дискретная математика Информационное обслуживание пользователей Информация и моделирование в управлении производством Компьютерная графика Математическое и компьютерное моделирование Моделирование Нейрокомпьютеры Проектирование программ диагностики компьютерных систем и сетей Проектирование системных программ Системы счисления Теория статистики Теория оптимизации Уроки AutoCAD 3D Уроки базы данных Access Уроки Orcad Цифровые автоматы Шпаргалки по компьютеру Шпаргалки по программированию Экспертные системы Элементы теории информации

Проектирование класса TreeNode


Дата добавления: 2015-07-23; просмотров: 584; Нарушение авторских прав


Рассмотрим подробно разработку класса TreeNode – «узел бинарного дерева». В состав узла входит поле данных, которое является открытым (public) элементом, то есть к нему можно обращаться непосредственно. Это позволяет читать или обновлять данные во время прохождения дерева, а также допускает возвращение ссылки на данные. Последняя особенность используется более сложными структурами данных, например, словарями. Указатели на правое и левое поддеревья являются закрытыми (private) элементами, доступ к которым осуществляется посредством функций Left() и Right().

 

//Предварительное описание класса «бинарное дерево поиска»

template <class T>

class BinSTree;

 

//Определение класса «узел бинарного дерева»

template <class T>

class TreeNode

{

//Указатели на левый и правый порожденные узлы

TreeNode<T> *left;

TreeNode<T> *right;

 

public:

//Открытый элемент данных класса, допускающий обновление

T data;

 

//Конструктор: инициализирует поле данных и указатели

//на порожденные узлы

TreeNode (const T& item, TreeNode<T> *lptr, TreeNode<T> *rptr):

data(item), left(lptr), right(rptr) { }

 

// Методы доступа к указателям на порожденные узлы

TreeNode<T>* Left (void) const;

TreeNode<T>* Right (void) const;

 

// Описание класса BinSTree как дружественного

friend class BinSTree<T>;

};

 

Конструктор инициализирует поле данных и указатели на узлы следующего уровня. Если оба указателя инициализировать значением NULL, то узел будет инициализирован как лист.

Если в параметр lptr или rptr конструктора поместить указатели на другой объект TreeNode, конструктор присоединяет этот объект как левый или правый порожденный узел.

Методы доступа Left и Right возвращают соответствующий указатель. Класс BinSTree объявляется дружественным классу TreeNode и может модифицировать указатели. Другие клиенты должны использовать конструктор для создания указателей и методы Left и Right для прохождения дерева.



 

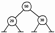
Пример 1.

 

//Указатели целочисленных узлов дерева

TreeNode<int> *root, *lchild, *rchild;

TreeNode<int> *p;

 

//Создать листья, содержащие 20 и 30 в качестве данных

lchild = new TreeNode<int> (20);

rchild = new TreeNode<int> (30);

 

//Создать корень, содержащий число 10 и двух сыновей

root = new TreeNode<int> (10, lchild, rchild);

root->data = 50; //Присвоить корню 50

Методы Left и Right возвращают значения полей левого и правого указателей. Благодаря этому клиент имеет доступ к левому и правому сыновьям узла.

 



<== предыдущая лекция | следующая лекция ==>
 | 


Карта сайта Карта сайта укр


Уроки php mysql Программирование

Онлайн система счисления Калькулятор онлайн обычный Инженерный калькулятор онлайн Замена русских букв на английские для вебмастеров Замена русских букв на английские

Аппаратное и программное обеспечение Графика и компьютерная сфера Интегрированная геоинформационная система Интернет Компьютер Комплектующие компьютера Лекции Методы и средства измерений неэлектрических величин Обслуживание компьютерных и периферийных устройств Операционные системы Параллельное программирование Проектирование электронных средств Периферийные устройства Полезные ресурсы для программистов Программы для программистов Статьи для программистов Cтруктура и организация данных


 


Не нашли то, что искали? Google вам в помощь!

 
 

© life-prog.ru При использовании материалов прямая ссылка на сайт обязательна.

Генерация страницы за: 2.679 сек.