русс | укр

Языки программирования

ПаскальСиАссемблерJavaMatlabPhpHtmlJavaScriptCSSC#DelphiТурбо Пролог

Компьютерные сетиСистемное программное обеспечениеИнформационные технологииПрограммирование

Все о программировании


Linux Unix Алгоритмические языки Аналоговые и гибридные вычислительные устройства Архитектура микроконтроллеров Введение в разработку распределенных информационных систем Введение в численные методы Дискретная математика Информационное обслуживание пользователей Информация и моделирование в управлении производством Компьютерная графика Математическое и компьютерное моделирование Моделирование Нейрокомпьютеры Проектирование программ диагностики компьютерных систем и сетей Проектирование системных программ Системы счисления Теория статистики Теория оптимизации Уроки AutoCAD 3D Уроки базы данных Access Уроки Orcad Цифровые автоматы Шпаргалки по компьютеру Шпаргалки по программированию Экспертные системы Элементы теории информации

Идея метода прямоугольников


Дата добавления: 2015-07-09; просмотров: 955; Нарушение авторских прав


Численное значение определенного интеграла равно площади поверхности, ограниченной осью Х, отрезком подынтегральной функции и перпендикулярами из начальной и конечной точек отрезка на ось Х.

При решении интеграла мы используем правила математики, согласно которым нужно найти первообразную подынтегральной функции. Далеко, не всегда это легко, а объяснить компьютеру как найти первообразную, еще сложнее, поэтому используют численные методы, которые на основе относительно несложных расчетов, позволяют получить приблизительное значение интеграла.

Графическое представление метода прямоугольников для функции
на интервале от 0 до 1 приведено на рис. 2.

Приближенно, площадь под отрезком рассматриваемой функции равна сумме площадей прямоугольников S1S4. Из рисунка 2 видно, что чем меньше шаг, с которым строятся прямоугольники, тем точнее вычисления.

Рис. 2. Метод прямоугольников. а) Метод левых прямоугольников, б) Метод левых прямоугольников, для нисходящей функции.

В зависимости от свойств интегрируемой функции можно применять метод левых или правых прямоугольников. Отличие этих методов состоит в том, с какой стороны на интервале интегрирования начинают строить прямоугольники. На рис. 2.а показан метод левых прямоугольников. Большие стороны каждого прямоугольника рассчитываются, двигаясь слева направо, относительно точек x1=0, x2=0.25, x3=0.5, x4=0.75.

Если применять метод левых прямоугольников к нисходящим функциям, то поученные результаты, будут превышать реальное значение интеграла, как показано на рис. 2.б.

При малом шаге построений, т.е. при большом количестве прямоугольников и тот, и другой метод приводят к результатам с близкой погрешностью.

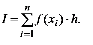
Площадь каждого прямоугольника равна произведению значения функции на шаг построения прямоугольников

где - подынтегральное выражение; xi – значение аргумента, которое рассчитывается по формуле (на рисунке аргументы имеют следующие значения , , , ); – шаг, равный отношению длины отрезка (b a), на котором производится интегрирование к числу разбиений n.



Следовательно, итерационная формула расчета интегралов методом прямоугольников имеет вид

Общий ход расчета интеграла методом прямоугольников описывается следующим алгоритмом, на примере расчета выражения

1. Выбираем число разбиений n = 4.

2. Определяем шаг изменения аргумента

3. Рассчитываем площадь первого прямоугольника

.

4. Рассчитываем площадь второго прямоугольника

.

5. Рассчитываем площадь третьего прямоугольника

.

6. Рассчитываем площадь четвертого прямоугольника.

.

7. Общая площадь прямоугольников составляет

Этот результат значительно отличается от точного (1.5), что указывает на недостатки метода прямоугольников и недостаточное количество принятых разбиений. Если увеличить количество разбиений n, то точность результата возрастет. Например, при n=40 рассчитанное значение интеграла составит I=1.4875, а при n=4000 I=1.4999

Большое количество разбиений позволяет получать результаты достаточно близкие к точным, поэтому расчет интегралов методом прямоугольников лучше вести с помощью компьютерной программы.

 



<== предыдущая лекция | следующая лекция ==>
Введение | Заключение


Карта сайта Карта сайта укр


Уроки php mysql Программирование

Онлайн система счисления Калькулятор онлайн обычный Инженерный калькулятор онлайн Замена русских букв на английские для вебмастеров Замена русских букв на английские

Аппаратное и программное обеспечение Графика и компьютерная сфера Интегрированная геоинформационная система Интернет Компьютер Комплектующие компьютера Лекции Методы и средства измерений неэлектрических величин Обслуживание компьютерных и периферийных устройств Операционные системы Параллельное программирование Проектирование электронных средств Периферийные устройства Полезные ресурсы для программистов Программы для программистов Статьи для программистов Cтруктура и организация данных


 


Не нашли то, что искали? Google вам в помощь!

 
 

© life-prog.ru При использовании материалов прямая ссылка на сайт обязательна.

Генерация страницы за: 2.374 сек.