русс | укр

Языки программирования

ПаскальСиАссемблерJavaMatlabPhpHtmlJavaScriptCSSC#DelphiТурбо Пролог

Компьютерные сетиСистемное программное обеспечениеИнформационные технологииПрограммирование

Все о программировании


Linux Unix Алгоритмические языки Аналоговые и гибридные вычислительные устройства Архитектура микроконтроллеров Введение в разработку распределенных информационных систем Введение в численные методы Дискретная математика Информационное обслуживание пользователей Информация и моделирование в управлении производством Компьютерная графика Математическое и компьютерное моделирование Моделирование Нейрокомпьютеры Проектирование программ диагностики компьютерных систем и сетей Проектирование системных программ Системы счисления Теория статистики Теория оптимизации Уроки AutoCAD 3D Уроки базы данных Access Уроки Orcad Цифровые автоматы Шпаргалки по компьютеру Шпаргалки по программированию Экспертные системы Элементы теории информации

Алгоритм симплекс-метода


Дата добавления: 2015-07-09; просмотров: 1244; Нарушение авторских прав


Теперь мы в состоянии сформулировать алгоритм симплекс-метода для решения задач линейного программирования, заданных в канонической форме. Обычно он реализуется в виде так называемой симплекс-таблицы, изображенной на следующей странице.

В первом столбце этой таблицы располагаются обозначения векторов, входящих в базис.

Второй столбец  коэффициенты целевой функции, соответствующие векторам, входящим в базис.

Третий столбец  компоненты опорного плана. В дополнительной строке в этом столбце пишется величина . Её легко вычислить, перемножая числа из второго столбца и третьего столбца и складывая их.

Далее идут столбцы, соответствующие всем векторам , и в этих столбцах записываются координаты этих векторов в рассматриваемом базисе. Заметим, что для векторов, входящих в базис, эти координаты имеют вид (0,0, ... ,0,1,0, ..., 0), где единица стоит в той строке, где находится сам этот базисный вектор.

В дополнительной строке сверху обычно выписывают коэффициенты , соответствующие этим векторам.

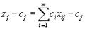
В дополнительной строке снизу пишутся величины , вычисляемые по формулам:

.

Заметим, что для векторов, входящих в базис, эти разности всегда равны нулю.

Этап 1

Просматривается дополнительная строка снизу, где записаны разности. Если все эти разности , то план является оптимальным

Этап 2

Если есть столбцы, где , то выбирается столбец с максимальным значением этой разности. Индекс j определит вектор, вводимый в базис.

Пусть , то есть в базис надо вводить вектор . Назовем столбец, соответствующий этому вектору, направляющим столбцом. В дальнейшем мы будем направляющий столбец помечать символом .

Этап 3

Просматривается столбец, соответствующий этому вектору. Если все , то значения целевой функции неограниченны снизу. Если есть , то находятся



где просматриваются лишь те дроби , для которых

Пусть этот минимум достигается для вектора . Тогда именно вектор подлежит выводу из базиса. Строка, соответствующая этому вектору, называется направляющей строкой. В дальнейшем в примерах мы будем помечать ее символом .

Этап 4

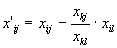
После того, как определены направляющие столбец и строка, начинает заполняться новая симплекс-таблица, в которой на месте направляющей строки будет стоять вектор .

Обычно заполнение этой новой таблицы начинается именно с направляющей строки. В качестве компоненты опорного плана туда пишется величина , то есть

.

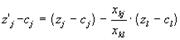
Остальные элементы этой строки заполняются величинами

.

Обратите внимание на особую роль элемента , стоящего на пересечении направляющей строки и направляющего столбца. Именно на него делятся все бывшие элементы направляющей строки. На месте бывшего элемента автоматически появляется единица.

Написанные выше формулы для пересчета элементов направляющей строки можно записать следующим правилом:

Этап 5

Далее начинается пересчет всех остальных строк таблицы, включая и дополнительную нижнюю строку по формулам: для компонент плана

;

для координат разложения по базису

;

для дополнительной строки

.

Обратите внимание на то, что все эти формулы по сути дела строятся по одному правилу

.

Это правило применимо и к компонентам плана, и к величинам , и к разностям . Его даже можно использовать для пересчета элементов самого направляющего столбца, хотя проще заполнить его нулями, оставив 1 на месте бывшего элемента .Далее итерации продолжаются.

 



<== предыдущая лекция | следующая лекция ==>
Геометрическая интерпретация задач линейного программирования | Двойственные задачи линейного программирования


Карта сайта Карта сайта укр


Уроки php mysql Программирование

Онлайн система счисления Калькулятор онлайн обычный Инженерный калькулятор онлайн Замена русских букв на английские для вебмастеров Замена русских букв на английские

Аппаратное и программное обеспечение Графика и компьютерная сфера Интегрированная геоинформационная система Интернет Компьютер Комплектующие компьютера Лекции Методы и средства измерений неэлектрических величин Обслуживание компьютерных и периферийных устройств Операционные системы Параллельное программирование Проектирование электронных средств Периферийные устройства Полезные ресурсы для программистов Программы для программистов Статьи для программистов Cтруктура и организация данных


 


Не нашли то, что искали? Google вам в помощь!

 
 

© life-prog.ru При использовании материалов прямая ссылка на сайт обязательна.

Генерация страницы за: 0.675 сек.