- характеризуется тем, что целевая функция
является линейной функциейпеременных, а область допустимых значений G определяется системой линейных равенств или неравенств. Ставится задача: найти экстремум (максимум или минимум) целевой функции
при условии, что переменные x принадлежат некоторой области G:

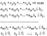
Первая стандартная форма задачи линейного программированияимеет вид

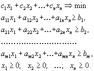
Вторая стандартная формазадачи линейного программирования имеет вид

Во всех этих задачах функцию
называют целевой функцией.
Любой набор чисел
, удовлетворяющий ограничениям задачи, называют планом, а множество всех планов допустимой областью. Тот план, который доставляет экстремум (минимум или максимум) целевой функции, называют оптимальным планом или просто решением задачи линейного программирования.