Если есть выражение сtgx=a, то x=arсctga. То есть арккотангенсом числа а называется такое число x , что его котангенс равен а.
Ограничения: 


Не табличное значение "аркфункций" можно найти пользуясь калькулятором. Для того, чтобы понять почему у функций именно такие ограничения, необходимо изучить их графики.
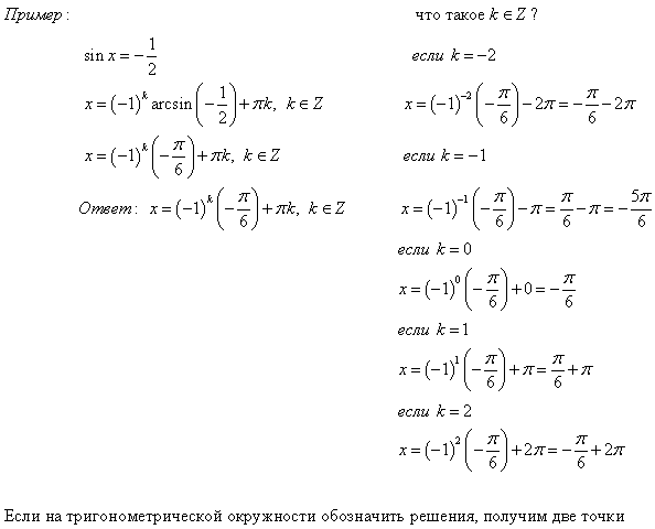
Решение уравнения sinx=a
Общее решение уравнения


