Рассмотрим единичную окружность, т.е. окружность с центром в начале координат и радиусом, равным 1.
Каждой точке на единичной окружности соответствует угол, координата х и координата y.


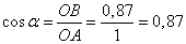
Точке А соответствует угол ?=300, координата х=0,87, координата y=0,5. Рассмотрим треугольник ОАВ:
;
. Таким образом, координата х точки А - косинус угла ?, а координата y точки А - синус угла ?.
Для любой точки на окружности, соответствующей любому углу, можно определить значения косинуса и синуса этого угла.
