Не решая системы линейных уравнений, можно определить число ее решений по коэффициентам при соответствующих переменных.
Пусть дана система 
1) Если
, то система имеет единственное решение.
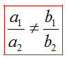
2) Если
, то система решений не имеет. В этом случае прямые, являющиеся графиками уравнений системы, параллельны и не совпадают.

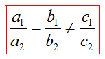
3) Если
, то система имеет бесконечное множество решений. В этом случае прямые совпадают друг с другом.

Математика->Система уравнений->система уравнений первой и второй степени->